面经整理
计算机网络
基础篇
TCP/IP 网络层

应用层
HTTP、FTP、Telnet、DNS、SMTP等。
应用层是工作在操作系统中的用户态,传输层及以下则工作在内核态。
传输层
有 TCP、UDP 协议等。
TCP 有 MSS (TCP 最大报文段长度)
网络层
实际的传输功能。
网络层最常使用的是 IP 协议(Internet Protocol),IP 协议会将传输层的报文作为数据部分,再加上 IP 包头组装成 IP 报文,如果 IP 报文大小超过 MTU(以太网中一般为 1500 字节)就会再次进行分片,得到一个即将发送到网络的 IP 报文。

IP 和子网掩码与运算得到网络号,子网掩码取反后和 IP 与运算得到主机号。
IP 协议的寻址作用是告诉我们去往下一个目的地该朝哪个方向走,路由则是根据「下一个目的地」选择路径。寻址更像在导航,路由更像在操作方向盘。
网络接口层
生成了 IP 头部之后,接下来要交给网络接口层,在 IP 头部的前面加上 MAC 头部,并封装成数据帧(Data frame)发送到网络上。
MAC 头部是以太网使用的头部,它包含了接收方和发送方的 MAC 地址等信息,我们可以通过 ARP 协议获取对方的 MAC 地址。
输入网址到网页显示的全过程
HTTP
浏览器解析 url,生成发送给 web 服务器的请求信息。

DNS
查询服务器域名对应的 IP 地址。
- 根 DNS 服务器(.)
- 顶级域 DNS 服务器(.com)
- 权威 DNS 服务器(server.com)

浏览器会先看自身有没有对这个域名的缓存,如果有,就直接返回,如果没有,就去问操作系统,操作系统也会去看自己的缓存,如果有,就直接返回,如果没有,再去 hosts 文件看,也没有,才会去问「本地 DNS 服务器」。
协议栈

TCP
tcp 报文头部:

首先,源端口号和目标端口号是不可少的,如果没有这两个端口号,数据就不知道应该发给哪个应用。
接下来有包的序号,这个是为了解决包乱序的问题。
还有应该有的是确认号,目的是确认发出去对方是否有收到。如果没有收到就应该重新发送,直到送达,这个是为了解决丢包的问题。
接下来还有一些状态位。例如 SYN 是发起一个连接,ACK 是回复,RST 是重新连接,FIN 是结束连接等。TCP 是面向连接的,因而双方要维护连接的状态,这些带状态位的包的发送,会引起双方的状态变更。
还有一个重要的就是窗口大小。TCP 要做流量控制,通信双方各声明一个窗口(缓存大小),标识自己当前能够的处理能力,别发送的太快,撑死我,也别发的太慢,饿死我。
除了做流量控制以外,TCP还会做拥塞控制,对于真正的通路堵车不堵车,它无能为力,唯一能做的就是控制自己,也即控制发送的速度。不能改变世界,就改变自己嘛。
三次握手

三次握手目的是保证双方都有发送和接收的能力。
TCP 的连接状态查看,在 Linux 可以通过 netstat -napt 命令查看。


IP
IP 报文头部:

因为 HTTP 是经过 TCP 传输的,所以在 IP 包头的协议号,要填写为 06(十六进制),表示协议为 TCP。
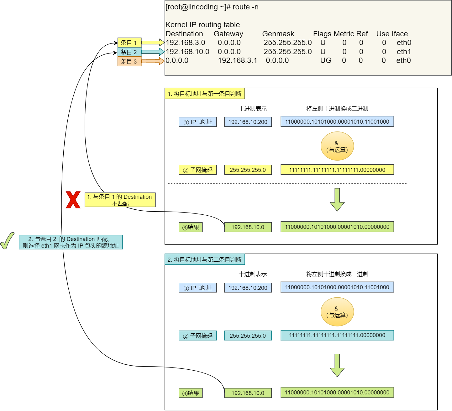
假设客户端有多个网卡,就会有多个 IP 地址,那 IP 头部的源地址应该选择哪个 IP 呢?
当存在多个网卡时,在填写源地址 IP 时,就需要判断到底应该填写哪个地址。这个判断相当于在多块网卡中判断应该使用哪个一块网卡来发送包。
这个时候就需要根据路由表规则,来判断哪一个网卡作为源地址 IP。
在 Linux 操作系统,我们可以使用 route -n 命令查看当前系统的路由表。


第三条目比较特殊,它目标地址和子网掩码都是 0.0.0.0,这表示默认网关,如果其他所有条目都无法匹配,就会自动匹配这一行。并且后续就把包发给路由器,Gateway 即是路由器的 IP 地址。
MAC

一般在 TCP/IP 通信里,MAC 包头的协议类型只使用:
0800: IP 协议0806: ARP 协议
发送方的 MAC 地址获取就比较简单了,MAC 地址是在网卡生产时写入到 ROM 里的,只要将这个值读取出来写入到 MAC 头部就可以了。
接收方的 MAC 地址就有点复杂了,只要告诉以太网对方的 MAC 的地址,以太网就会帮我们把包发送过去,那么很显然这里应该填写对方的 MAC 地址。
所以先得搞清楚应该把包发给谁,这个只要查一下路由表就知道了。在路由表中找到相匹配的条目,然后把包发给 GateWay 列中的 IP 地址就可以了。
既然知道要发给谁,按如何获取对方的 MAC 地址呢?

ARP 协议会在以太网中以广播的形式,对以太网所有的设备喊出:“这个 IP 地址是谁的?请把你的 MAC 地址告诉我”。
在后续操作系统会把本次查询结果放到一块叫做 ARP 缓存的内存空间留着以后用,不过缓存的时间就几分钟。
在 Linux 系统中,我们可以使用 arp -a 命令来查看 ARP 缓存的内容。

网卡
我们需要将数字信息转换为电信号,才能在网线上传输,也就是说,这才是真正的数据发送过程。
负责执行这一操作的是网卡,要控制网卡还需要靠网卡驱动程序。
网卡驱动获取网络包之后,会将其复制到网卡内的缓存区中,接着会在其开头加上报头和起始帧分界符,在末尾加上用于检测错误的帧校验序列。

- 起始帧分界符是一个用来表示包起始位置的标记
- 末尾的
FCS(帧校验序列)用来检查包传输过程是否有损坏
交换机
交换机的设计是将网络包原样转发到目的地。交换机工作在 MAC 层,也称为二层网络设备。
计算机的网卡本身具有 MAC 地址,并通过核对收到的包的接收方 MAC 地址判断是不是发给自己的,如果不是发给自己的则丢弃;相对地,交换机的端口不核对接收方 MAC 地址,而是直接接收所有的包并存放到缓冲区中。因此,和网卡不同,交换机的端口不具有 MAC 地址。

所以,交换机根据 MAC 地址表查找 MAC 地址,然后将信号发送到相应的端口。
交换机无法判断应该把包转发到哪个端口,只能将包转发到除了源端口之外的所有端口上,无论该设备连接在哪个端口上都能收到这个包。
只有相应的接收者才接收包,而其他设备则会忽略这个包。
以下两个属于广播地址:
- MAC 地址中的
FF:FF:FF:FF:FF:FF - IP 地址中的
255.255.255.255
路由器
因为路由器是基于 IP 设计的,俗称三层网络设备,路由器的各个端口都具有 MAC 地址和 IP 地址;
而交换机是基于以太网设计的,俗称二层网络设备,交换机的端口不具有 MAC 地址。
当转发包时,首先路由器端口会接收发给自己的以太网包,然后路由表查询转发目标,再由相应的端口作为发送方将以太网包发送出去。

服务端与客户端

Linux 协议栈

网卡是计算机里的一个硬件,专门负责接收和发送网络包,当网卡接收到一个网络包后,会通过 DMA 技术,将网络包写入到指定的内存地址,也就是写入到 Ring Buffer ,这个是一个环形缓冲区,接着就会告诉操作系统这个网络包已经到达。
Linux 接受包
那应该怎么告诉操作系统这个网络包已经到达了呢?
最简单的一种方式就是触发中断,也就是每当网卡收到一个网络包,就触发一个中断告诉操作系统。
但是,这存在一个问题,在高性能网络场景下,网络包的数量会非常多,那么就会触发非常多的中断,要知道当 CPU 收到了中断,就会停下手里的事情,而去处理这些网络包,处理完毕后,才会回去继续其他事情,那么频繁地触发中断,则会导致 CPU 一直没完没了的处理中断,而导致其他任务可能无法继续前进,从而影响系统的整体效率。
所以为了解决频繁中断带来的性能开销,Linux 内核在 2.6 版本中引入了 NAPI 机制,它是混合「中断和轮询」的方式来接收网络包,它的核心概念就是不采用中断的方式读取数据,而是首先采用中断唤醒数据接收的服务程序,然后 poll 的方法来轮询数据。
因此,当有网络包到达时,会通过 DMA 技术,将网络包写入到指定的内存地址,接着网卡向 CPU 发起硬件中断,当 CPU 收到硬件中断请求后,根据中断表,调用已经注册的中断处理函数。
硬件中断处理函数会做如下的事情:
- 需要先「暂时屏蔽中断」,表示已经知道内存中有数据了,告诉网卡下次再收到数据包直接写内存就可以了,不要再通知 CPU 了,这样可以提高效率,避免 CPU 不停的被中断。
- 接着,发起「软中断」,然后恢复刚才屏蔽的中断。
至此,硬件中断处理函数的工作就已经完成。
硬件中断处理函数做的事情很少,主要耗时的工作都交给软中断处理函数了。
软中断的处理
内核中的 ksoftirqd 线程专门负责软中断的处理,当 ksoftirqd 内核线程收到软中断后,就会来轮询处理数据。
ksoftirqd 线程会从 Ring Buffer 中获取一个数据帧,用 sk_buff 表示,从而可以作为一个网络包交给网络协议栈进行逐层处理。
Linux 发送包
首先,应用程序会调用 Socket 发送数据包的接口,由于这个是系统调用,所以会从用户态陷入到内核态中的 Socket 层,内核会申请一个内核态的 sk_buff 内存,将用户待发送的数据拷贝到 sk_buff 内存,并将其加入到发送缓冲区。
接下来,网络协议栈从 Socket 发送缓冲区中取出 sk_buff,并按照 TCP/IP 协议栈从上到下逐层处理。
如果使用的是 TCP 传输协议发送数据,那么先拷贝一个新的 sk_buff 副本 , 这是因为 sk_buff 后续在调用网络层,最后到达网卡发送完成的时候,这个 sk_buff 会被释放掉。而 TCP 协议是支持丢失重传的,在收到对方的 ACK 之前,这个 sk_buff 不能被删除。所以内核的做法就是每次调用网卡发送的时候,实际上传递出去的是 sk_buff 的一个拷贝,等收到 ACK 再真正删除。
接着,对 sk_buff 填充 TCP 头。这里提一下,sk_buff 可以表示各个层的数据包,在应用层数据包叫 data,在 TCP 层我们称为 segment,在 IP 层我们叫 packet,在数据链路层称为 frame。
你可能会好奇,为什么全部数据包只用一个结构体来描述呢?协议栈采用的是分层结构,上层向下层传递数据时需要增加包头,下层向上层数据时又需要去掉包头,如果每一层都用一个结构体,那在层之间传递数据的时候,就要发生多次拷贝,这将大大降低 CPU 效率。
于是,为了在层级之间传递数据时,不发生拷贝,只用 sk_buff 一个结构体来描述所有的网络包,那它是如何做到的呢?是通过调整 sk_buff 中 data 的指针,比如:
- 当接收报文时,从网卡驱动开始,通过协议栈层层往上传送数据报,通过增加 skb->data 的值,来逐步剥离协议首部。
- 当要发送报文时,创建 sk_buff 结构体,数据缓存区的头部预留足够的空间,用来填充各层首部,在经过各下层协议时,通过减少 skb->data 的值来增加协议首部。

发送网络数据的时候,涉及几次内存拷贝操作?
第一次,调用发送数据的系统调用的时候,内核会申请一个内核态的 sk_buff 内存,将用户待发送的数据拷贝到 sk_buff 内存,并将其加入到发送缓冲区。
第二次,在使用 TCP 传输协议的情况下,从传输层进入网络层的时候,每一个 sk_buff 都会被克隆一个新的副本出来。副本 sk_buff 会被送往网络层,等它发送完的时候就会释放掉,然后原始的 sk_buff 还保留在传输层,目的是为了实现 TCP 的可靠传输,等收到这个数据包的 ACK 时,才会释放原始的 sk_buff 。
第三次,当 IP 层发现 sk_buff 大于 MTU 时才需要进行。会再申请额外的 sk_buff,并将原来的 sk_buff 拷贝为多个小的 sk_buff。
HTTP 篇
状态码
1xx 类状态码属于提示信息,是协议处理中的一种中间状态,实际用到的比较少。
2xx 类状态码表示服务器成功处理了客户端的请求,也是我们最愿意看到的状态。
- 「200 OK」是最常见的成功状态码,表示一切正常。如果是非
HEAD请求,服务器返回的响应头都会有 body 数据。 - 「204 No Content」也是常见的成功状态码,与 200 OK 基本相同,但响应头没有 body 数据。
- 「206 Partial Content」是应用于 HTTP 分块下载或断点续传,表示响应返回的 body 数据并不是资源的全部,而是其中的一部分,也是服务器处理成功的状态。
3xx 类状态码表示客户端请求的资源发生了变动,需要客户端用新的 URL 重新发送请求获取资源,也就是重定向。
- 「301 Moved Permanently」表示永久重定向,说明请求的资源已经不存在了,需改用新的 URL 再次访问。
- 「302 Found」表示临时重定向,说明请求的资源还在,但暂时需要用另一个 URL 来访问。
301 和 302 都会在响应头里使用字段 Location,指明后续要跳转的 URL,浏览器会自动重定向新的 URL。
- 「304 Not Modified」不具有跳转的含义,表示资源未修改,重定向已存在的缓冲文件,也称缓存重定向,也就是告诉客户端可以继续使用缓存资源,用于缓存控制。
4xx 类状态码表示客户端发送的报文有误,服务器无法处理,也就是错误码的含义。
- 「400 Bad Request」表示客户端请求的报文有错误,但只是个笼统的错误。
- 「403 Forbidden」表示服务器禁止访问资源,并不是客户端的请求出错。
- 「404 Not Found」表示请求的资源在服务器上不存在或未找到,所以无法提供给客户端。
5xx 类状态码表示客户端请求报文正确,但是服务器处理时内部发生了错误,属于服务器端的错误码。
- 「500 Internal Server Error」与 400 类型,是个笼统通用的错误码,服务器发生了什么错误,我们并不知道。
- 「501 Not Implemented」表示客户端请求的功能还不支持。
- 「502 Bad Gateway」通常是服务器作为网关或代理时返回的错误码,表示服务器自身工作正常,访问后端服务器发生了错误。
- 「503 Service Unavailable」表示服务器当前很忙,暂时无法响应客户端。
常见字段
Host 字段:客户端发送请求时,用来指定服务器的域名。
Content-Length 字段:服务器在返回数据时,会有 Content-Length 字段,表明本次回应的数据长度。
- HTTP 协议通过设置回车符、换行符作为 HTTP header 的边界通过 Content-Length 字段作为 HTTP body 的边界,这两个方式都是为了解决“粘包”的问题。
Connection 字段:Connection 字段最常用于客户端要求服务器使用「HTTP 长连接」机制,以便其他请求复用。
- HTTP 长连接的特点是,只要任意一端没有明确提出断开连接,则保持 TCP 连接状态。
- HTTP/1.1 版本的默认连接都是长连接,但为了兼容老版本的 HTTP,需要指定
Connection首部字段的值为Keep-Alive。
Content-Type 字段:Content-Type 字段用于服务器回应时,告诉客户端,本次数据是什么格式。
Content-Type: text/html; Charset=utf-8- 客户端请求的时候,可以使用
Accept字段声明自己可以接受哪些数据格式。Accept: */*
Content-Encoding 字段:说明数据的压缩方法。表示服务器返回的数据使用了什么压缩格式。
Content-Encoding: gzip- 客户端在请求时,用
Accept-Encoding字段说明自己可以接受哪些压缩方法。Accept-Encoding: gzip, deflate
GET 和 POST 方法都是安全和幂等的吗?
- 在 HTTP 协议里,所谓的「安全」是指请求方法不会「破坏」服务器上的资源。
- 所谓的「幂等」,意思是多次执行相同的操作,结果都是「相同」的。
- GET 方法就是安全且幂等的,因为它是「只读」操作
- POST 因为是「新增或提交数据」的操作,会修改服务器上的资源,所以是不安全的,且多次提交数据就会创建多个资源,所以不是幂等的。
HTTP 缓存
HTTP 缓存有两种实现方式,分别是强制缓存和协商缓存。
强制缓存
强制缓存指的是只要浏览器判断缓存没有过期,则直接使用浏览器的本地缓存,决定是否使用缓存的主动性在于浏览器这边。
如下图中,返回的是 200 状态码,但在 size 项中标识的是 from disk cache,就是使用了强制缓存。

强缓存是利用下面这两个 HTTP 响应头部(Response Header)字段实现的,它们都用来表示资源在客户端缓存的有效期:
Cache-Control, 是一个相对时间;Expires,是一个绝对时间;
如果 HTTP 响应头部同时有 Cache-Control 和 Expires 字段的话,Cache-Control 的优先级高于 Expires 。
- 当浏览器第一次请求访问服务器资源时,服务器会在返回这个资源的同时,在 Response 头部加上 Cache-Control,Cache-Control 中设置了过期时间大小;
- 浏览器再次请求访问服务器中的该资源时,会先通过请求资源的时间与 Cache-Control 中设置的过期时间大小,来计算出该资源是否过期,如果没有,则使用该缓存,否则重新请求服务器;
- 服务器再次收到请求后,会再次更新 Response 头部的 Cache-Control。
协商缓存
当我们在浏览器使用开发者工具的时候,你可能会看到过某些请求的响应码是 304,这个是告诉浏览器可以使用本地缓存的资源,通常这种通过服务端告知客户端是否可以使用缓存的方式被称为协商缓存。

协商缓存可以基于两种头部来实现。
第一种:请求头部中的 If-Modified-Since 字段与响应头部中的 Last-Modified 字段实现,这两个字段的意思是:
- 响应头部中的
Last-Modified:标示这个响应资源的最后修改时间; - 请求头部中的
If-Modified-Since:当资源过期了,发现响应头中具有 Last-Modified 声明,则再次发起请求的时候带上 Last-Modified 的时间,服务器收到请求后发现有 If-Modified-Since 则与被请求资源的最后修改时间进行对比(Last-Modified),如果最后修改时间较新(大),说明资源又被改过,则返回最新资源,HTTP 200 OK;如果最后修改时间较旧(小),说明资源无新修改,响应 HTTP 304 走缓存。
第二种:请求头部中的 If-None-Match 字段与响应头部中的 ETag 字段,这两个字段的意思是:
- 响应头部中
Etag:唯一标识响应资源; - 请求头部中的
If-None-Match:当资源过期时,浏览器发现响应头里有 Etag,则再次向服务器发起请求时,会将请求头 If-None-Match 值设置为 Etag 的值。服务器收到请求后进行比对,如果资源没有变化返回 304,如果资源变化了返回 200。
第一种实现方式是基于时间实现的,第二种实现方式是基于一个唯一标识实现的,相对来说后者可以更加准确地判断文件内容是否被修改,避免由于时间篡改导致的不可靠问题。
为什么 ETag 的优先级更高?这是因为 ETag 主要能解决 Last-Modified 几个比较难以解决的问题:
- 在没有修改文件内容情况下文件的最后修改时间可能也会改变,这会导致客户端认为这文件被改动了,从而重新请求;
- 可能有些文件是在秒级以内修改的,
If-Modified-Since能检查到的粒度是秒级的,使用 Etag就能够保证这种需求下客户端在 1 秒内能刷新多次; - 有些服务器不能精确获取文件的最后修改时间。
注意,协商缓存这两个字段都需要配合强制缓存中 Cache-Control 字段来使用,只有在未能命中强制缓存的时候,才能发起带有协商缓存字段的请求。

当使用 ETag 字段实现的协商缓存的过程:
当浏览器第一次请求访问服务器资源时,服务器会在返回这个资源的同时,在 Response 头部加上 ETag 唯一标识,这个唯一标识的值是根据当前请求的资源生成的;
当浏览器再次请求访问服务器中的该资源时,首先会先检查强制缓存是否过期:
- 如果没有过期,则直接使用本地缓存;
- 如果缓存过期了,会在 Request 头部加上 If-None-Match 字段,该字段的值就是 ETag 唯一标识;
服务器再次收到请求后,
会根据请求中的 If-None-Match 值与当前请求的资源生成的唯一标识进行比较:
- 如果值相等,则返回 304 Not Modified,不会返回资源;
- 如果不相等,则返回 200 状态码和返回资源,并在 Response 头部加上新的 ETag 唯一标识;
如果浏览器收到 304 的请求响应状态码,则会从本地缓存中加载资源,否则更新资源。
HTTP 特性
HTTP/1.1
HTTP 最突出的优点是「简单、灵活和易于扩展、应用广泛和跨平台」。
HTTP 协议里有优缺点一体的双刃剑,分别是「无状态、明文传输」,同时还有一大缺点「不安全」。
HTTP 协议是基于 TCP/IP,并且使用了「请求 - 应答」的通信模式,所以性能的关键就在这两点里。

长连接
- HTTP/1.1 提出了长连接的通信方式,也叫持久连接。这种方式的好处在于减少了 TCP 连接的重复建立和断开所造成的额外开销,减轻了服务器端的负载。
- 持久连接的特点是,只要任意一端没有明确提出断开连接,则保持 TCP 连接状态。
管道网络传输
- 即可在同一个 TCP 连接里面,客户端可以发起多个请求,只要第一个请求发出去了,不必等其回来,就可以发第二个请求出去,可以减少整体的响应时间。
- 但是服务器必须按照接收请求的顺序发送对这些管道化请求的响应。如果服务端在处理 A 请求时耗时比较长,那么后续的请求的处理都会被阻塞住,这称为「队头堵塞」。
- HTTP/1.1 管道解决了请求的队头阻塞,但是没有解决响应的队头阻塞。
HTTPS
- HTTP 连接建立相对简单, TCP 三次握手之后便可进行 HTTP 的报文传输。而 HTTPS 在 TCP 三次握手之后,还需进行 SSL/TLS 的握手过程,才可进入加密报文传输。
- 两者的默认端口不一样,HTTP 默认端口号是 80,HTTPS 默认端口号是 443。
- HTTPS 协议需要向 CA(证书权威机构)申请数字证书,来保证服务器的身份是可信的。
HTTPS 是如何解决窃听风险、篡改风险、冒充风险的?
- 混合加密的方式实现信息的机密性,解决了窃听的风险。
- 在通信建立前采用非对称加密的方式交换「会话秘钥」,后续就不再使用非对称加密。非对称加密使用两个密钥:公钥和私钥,公钥可以任意分发而私钥保密,解决了密钥交换问题但速度慢。
- 在通信过程中全部使用对称加密的「会话秘钥」的方式加密明文数据。对称加密只使用一个密钥,运算速度快,密钥必须保密,无法做到安全的密钥交换。
- 摘要算法的方式来实现完整性,它能够为数据生成独一无二的「指纹」,指纹用于校验数据的完整性,解决了篡改的风险。
- 将服务器公钥放入到数字证书中,解决了冒充的风险。
HTTPS 是如何建立连接的?其间交互了什么?
SSL/TLS 协议基本流程:
- 客户端向服务器索要并验证服务器的公钥。
- 双方协商生产「会话秘钥」。
- 双方采用「会话秘钥」进行加密通信。
前两步也就是 SSL/TLS 的建立过程,也就是 TLS 握手阶段。
LS 的「握手阶段」涉及四次通信,使用不同的密钥交换算法,TLS 握手流程也会不一样的,现在常用的密钥交换算法有两种:RSA 算法和 ECDHE 算法。
HTTPS 的应用数据是如何保证完整性的?
TLS 在实现上分为握手协议和记录协议两层:
- TLS 握手协议就是我们前面说的 TLS 四次握手的过程,负责协商加密算法和生成对称密钥,后续用此密钥来保护应用程序数据(即 HTTP 数据);
- TLS 记录协议负责保护应用程序数据并验证其完整性和来源,所以对 HTTP 数据加密是使用记录协议;
TLS 握手
1. ClientHello
首先,由客户端向服务器发起加密通信请求,也就是 ClientHello 请求。
在这一步,客户端主要向服务器发送以下信息:
(1)客户端支持的 TLS 协议版本,如 TLS 1.2 版本。
(2)客户端生产的随机数(Client Random),后面用于生成「会话秘钥」条件之一。
(3)客户端支持的密码套件列表,如 RSA 加密算法。
2. SeverHello
服务器收到客户端请求后,向客户端发出响应,也就是 SeverHello。服务器回应的内容有如下内容:
(1)确认 TLS 协议版本,如果浏览器不支持,则关闭加密通信。
(2)服务器生产的随机数(Server Random),也是后面用于生产「会话秘钥」条件之一。
(3)确认的密码套件列表,如 RSA 加密算法。
(4)服务器的数字证书。
3.客户端回应
客户端收到服务器的回应之后,首先通过浏览器或者操作系统中的 CA 公钥,确认服务器的数字证书的真实性。
如果证书没有问题,客户端会从数字证书中取出服务器的公钥,然后使用它加密报文,向服务器发送如下信息:
(1)一个随机数(pre-master key)。该随机数会被服务器公钥加密。
(2)加密通信算法改变通知,表示随后的信息都将用「会话秘钥」加密通信。
(3)客户端握手结束通知,表示客户端的握手阶段已经结束。这一项同时把之前所有内容的发生的数据做个摘要,用来供服务端校验。
上面第一项的随机数是整个握手阶段的第三个随机数,会发给服务端,所以这个随机数客户端和服务端都是一样的。
服务器和客户端有了这三个随机数(Client Random、Server Random、pre-master key),接着就用双方协商的加密算法,各自生成本次通信的「会话秘钥」。
4. 服务器的最后回应
服务器收到客户端的第三个随机数(pre-master key)之后,通过协商的加密算法,计算出本次通信的「会话秘钥」。
然后,向客户端发送最后的信息:
(1)加密通信算法改变通知,表示随后的信息都将用「会话秘钥」加密通信。
(2)服务器握手结束通知,表示服务器的握手阶段已经结束。这一项同时把之前所有内容的发生的数据做个摘要,用来供客户端校验。
至此,整个 TLS 的握手阶段全部结束。接下来,客户端与服务器进入加密通信,就完全是使用普通的 HTTP 协议,只不过用「会话秘钥」加密内容。
如何避免被中间人抓取数据?
通过 HTTPS 双向认证来避免这种问题。
如果用了双向认证方式,不仅客户端会验证服务端的身份,而且服务端也会验证客户端的身份。服务端一旦验证到请求自己的客户端为不可信任的,服务端就拒绝继续通信,客户端如果发现服务端为不可信任的,那么也中止通信。
HTTP/1.1 HTTP/2 HTTP/3
HTTP/1.1 相比 HTTP/1.0 提高了什么性能?
- 长连接
- 管道
HTTP/1.1 仍然存在的问题?
- 请求 / 响应头部(Header)未经压缩就发送,首部信息越多延迟越大。只能压缩
Body的部分; - 服务器是按请求的顺序响应的,如果服务器响应慢,会招致客户端一直请求不到数据,也就是队头阻塞;
- 没有请求优先级控制;
- 请求只能从客户端开始,服务器只能被动响应。
HTTP/2
相比于 HTTP/1.1 的改进:
- 头部压缩
- HTTP/2 会压缩头(Header)如果你同时发出多个请求,他们的头是一样的或是相似的,那么,协议会帮你消除重复的部分。
- 这就是所谓的
HPACK算法:在客户端和服务器同时维护一张头信息表,所有字段都会存入这个表,生成一个索引号,以后就不发送同样字段了,只发送索引号,这样就提高速度了。
- 二进制格式
- HTTP/2 不再像 HTTP/1.1 里的纯文本形式的报文,而是全面采用了二进制格式,头信息和数据体都是二进制,并且统称为帧(frame):头信息帧(Headers Frame)和数据帧(Data Frame)。增加了数据传输的效率。
- 并发传输
- HTTP/1.1 中如果响应迟迟不来,那么后续的请求是无法发送的,也造成了队头阻塞的问题。
- HTTP/2 引出了 Stream 概念,多个 Stream 复用在一条 TCP 连接。
- 1 个 TCP 连接包含多个 Stream,Stream 里可以包含 1 个或多个 Message,Message 对应 HTTP/1 中的请求或响应,由 HTTP 头部和包体构成。Message 里包含一条或者多个 Frame,Frame 是 HTTP/2 最小单位,以二进制压缩格式存放 HTTP/1 中的内容(头部和包体)。
- 针对不同的 HTTP 请求用独一无二的 Stream ID 来区分,接收端可以通过 Stream ID 有序组装成 HTTP 消息,不同 Stream 的帧是可以乱序发送的,因此可以并发不同的 Stream ,也就是 HTTP/2 可以并行交错地发送请求和响应。
- 服务器主动推送资源
- 服务端不再是被动地响应,可以主动向客户端发送消息。
- 客户端和服务器双方都可以建立 Stream, Stream ID 也是有区别的,客户端建立的 Stream 必须是奇数号,而服务器建立的 Stream 必须是偶数号。
HTTP/2 有什么缺陷?
HTTP/2 通过 Stream 的并发能力,解决了 HTTP/1 队头阻塞的问题,看似很完美了,但是 HTTP/2 还是存在“队头阻塞”的问题,只不过问题不是在 HTTP 这一层面,而是在 TCP 这一层。
HTTP/2 是基于 TCP 协议来传输数据的,TCP 是字节流协议,TCP 层必须保证收到的字节数据是完整且连续的,这样内核才会将缓冲区里的数据返回给 HTTP 应用,那么当「前 1 个字节数据」没有到达时,后收到的字节数据只能存放在内核缓冲区里,只有等到这 1 个字节数据到达时,HTTP/2 应用层才能从内核中拿到数据,这就是 HTTP/2 队头阻塞问题。
一旦发生了丢包现象,就会触发 TCP 的重传机制,这样在一个 TCP 连接中的所有的 HTTP 请求都必须等待这个丢了的包被重传回来。
HTTP/3
前面我们知道了 HTTP/1.1 和 HTTP/2 都有队头阻塞的问题:
- HTTP/1.1 中的管道( pipeline)虽然解决了请求的队头阻塞,但是没有解决响应的队头阻塞,因为服务端需要按顺序响应收到的请求,如果服务端处理某个请求消耗的时间比较长,那么只能等响应完这个请求后, 才能处理下一个请求,这属于 HTTP 层队头阻塞。
- HTTP/2 虽然通过多个请求复用一个 TCP 连接解决了 HTTP 的队头阻塞 ,但是一旦发生丢包,就会阻塞住所有的 HTTP 请求,这属于 TCP 层队头阻塞。
HTTP/2 队头阻塞的问题是因为 TCP,所以 HTTP/3 把 HTTP 下层的 TCP 协议改成了 UDP!
UDP 发送是不管顺序,也不管丢包的,所以不会出现像 HTTP/2 队头阻塞的问题。大家都知道 UDP 是不可靠传输的,但基于 UDP 的 QUIC 协议 可以实现类似 TCP 的可靠性传输。
QUIC 有以下 3 个特点。
无队头阻塞
- QUIC 协议也有类似 HTTP/2 Stream 与多路复用的概念,也是可以在同一条连接上并发传输多个 Stream,Stream 可以认为就是一条 HTTP 请求。
- QUIC 有自己的一套机制可以保证传输的可靠性的。当某个流发生丢包时,只会阻塞这个流,其他流不会受到影响,因此不存在队头阻塞问题。这与 HTTP/2 不同,HTTP/2 只要某个流中的数据包丢失了,其他流也会因此受影响。
- 所以,QUIC 连接上的多个 Stream 之间并没有依赖,都是独立的,某个流发生丢包了,只会影响该流,其他流不受影响。
更快的连接建立
对于 HTTP/1 和 HTTP/2 协议,TCP 和 TLS 是分层的,分别属于内核实现的传输层、openssl 库实现的表示层,因此它们难以合并在一起,需要分批次来握手,先 TCP 握手,再 TLS 握手。
HTTP/3 在传输数据前虽然需要 QUIC 协议握手,但是这个握手过程只需要 1 RTT,握手的目的是为确认双方的「连接 ID」,连接迁移就是基于连接 ID 实现的。
但是 HTTP/3 的 QUIC 协议并不是与 TLS 分层,而是 QUIC 内部包含了 TLS,它在自己的帧会携带 TLS 里的“记录”,再加上 QUIC 使用的是 TLS/1.3,因此仅需 1 个 RTT 就可以「同时」完成建立连接与密钥协商,如下图:
TCP HTTPS(TLS/1.3) 和 QUIC HTTPS
连接迁移
- 那么当移动设备的网络从 4G 切换到 WIFI 时,意味着 IP 地址变化了,那么就必须要断开连接,然后重新建立连接。而建立连接的过程包含 TCP 三次握手和 TLS 四次握手的时延,以及 TCP 慢启动的减速过程,给用户的感觉就是网络突然卡顿了一下,因此连接的迁移成本是很高的。
- 而 QUIC 协议没有用四元组的方式来“绑定”连接,而是通过连接 ID 来标记通信的两个端点,客户端和服务器可以各自选择一组 ID 来标记自己,因此即使移动设备的网络变化后,导致 IP 地址变化了,只要仍保有上下文信息(比如连接 ID、TLS 密钥等),就可以“无缝”地复用原连接,消除重连的成本,没有丝毫卡顿感,达到了连接迁移的功能。
QUIC 是新协议,对于很多网络设备,根本不知道什么是 QUIC,只会当做 UDP,这样会出现新的问题,因为有的网络设备是会丢掉 UDP 包的,而 QUIC 是基于 UDP 实现的,那么如果网络设备无法识别这个是 QUIC 包,那么就会当作 UDP包,然后被丢弃。
HTTP/1.1 如何优化?
- 尽量避免发送 HTTP 请求;
- 缓存
- 在需要发送 HTTP 请求时,考虑如何减少请求次数;
- 减少重定向请求次数;
- 用代理服务器实现,代理服务器自己取得重定向之后的内容返回。
- 合并请求;
- 如果把多个访问小文件的请求合并成一个大的请求,虽然传输的总资源还是一样,但是减少请求,也就意味着减少了重复发送的 HTTP 头部。除了将小图片合并成大图片的方式,还有服务端使用
webpack等打包工具将 js、css 等资源合并打包成大文件,也是能达到类似的效果。
- 如果把多个访问小文件的请求合并成一个大的请求,虽然传输的总资源还是一样,但是减少请求,也就意味着减少了重复发送的 HTTP 头部。除了将小图片合并成大图片的方式,还有服务端使用
- 延迟发送请求;
- 请求网页的时候,没必要把全部资源都获取到,而是只获取当前用户所看到的页面资源,当用户向下滑动页面的时候,再向服务器获取接下来的资源,这样就达到了延迟发送请求的效果。
- 减少重定向请求次数;
- 减少服务器的 HTTP 响应的数据大小;
- 无损压缩;
- gzip 就是比较常见的无损压缩。客户端支持的压缩算法,会在 HTTP 请求中通过头部中的
Accept-Encoding字段告诉服务器。
- gzip 就是比较常见的无损压缩。客户端支持的压缩算法,会在 HTTP 请求中通过头部中的
- 有损压缩;
- 可以通过 HTTP 请求头部中的
Accept字段里的「 q 质量因子」,告诉服务器期望的资源质量。 - 关于音视频的压缩,音视频主要是动态的,每个帧都有时序的关系,通常时间连续的帧之间的变化是很小的。
- 比如,一个在看书的视频,画面通常只有人物的手和书桌上的书是会有变化的,而其他地方通常都是静态的,于是只需要在一个静态的关键帧,使用增量数据来表达后续的帧,这样便减少了很多数据,提高了网络传输的性能。对于视频常见的编码格式有 H264、H265 等,音频常见的编码格式有 AAC、AC3。
- 可以通过 HTTP 请求头部中的
- 无损压缩;
HTTPS 如何优化?

HTTP 和 RPC 有什么区别
- 服务发现
- 底层连接形式
- 而 RPC 协议,跟 HTTP 类似,也是通过建立 TCP 长链接进行数据交互,但不同的地方在于,RPC 协议一般还会再建个连接池,在请求量大的时候,建立多条连接放在池内,要发数据的时候就从池里取一条连接出来,用完放回去,下次再复用,可以说非常环保。
- 传输的内容
- RPC,因为它定制化程度更高,可以采用体积更小的 Protobuf 或其他序列化协议去保存结构体数据,同时也不需要像 HTTP 那样考虑各种浏览器行为,比如 302 重定向跳转啥的。因此性能也会更好一些,这也是在公司内部微服务中抛弃 HTTP,选择使用 RPC 的最主要原因。
- 上面说的 HTTP,其实特指的是现在主流使用的 HTTP/1.1,
HTTP/2在前者的基础上做了很多改进,所以性能可能比很多 RPC 协议还要好,甚至连gRPC底层都直接用的HTTP/2。
既然有 HTTP 协议,为什么还要有 WebSocket?
我们知道 TCP 连接的两端,同一时间里,双方都可以主动向对方发送数据。这就是所谓的全双工。
而现在使用最广泛的HTTP/1.1,也是基于TCP协议的,同一时间里,客户端和服务器只能有一方主动发数据,这就是所谓的半双工。
如果想建立 WebSocket 连接,就会在 HTTP 请求里带上一些特殊的header 头**,如下:
1 | |
这些 header 头的意思是,浏览器想升级协议(Connection: Upgrade),并且想升级成 WebSocket 协议(Upgrade: WebSocket)。同时带上一段随机生成的 base64 码(Sec-WebSocket-Key),发给服务器。
如果服务器正好支持升级成 WebSocket 协议。就会走 WebSocket 握手流程,同时根据客户端生成的 base64 码,用某个公开的算法变成另一段字符串,放在 HTTP 响应的 Sec-WebSocket-Accept 头里,同时带上101状态码,发回给浏览器。HTTP 的响应如下:
1 | |
WebSocket 消息格式

opcode字段:这个是用来标志这是个什么类型的数据帧。比如。
- 等于 1 ,是指text类型(
string)的数据包 - 等于 2 ,是二进制数据类型(
[]byte)的数据包 - 等于 8 ,是关闭连接的信号
payload字段:存放的是我们真正想要传输的数据的长度,单位是字节。比如你要发送的数据是字符串"111",那它的长度就是3。
WS 适用场景
WebSocket完美继承了 TCP 协议的全双工能力,并且还贴心的提供了解决粘包的方案。
它适用于需要服务器和客户端(浏览器)频繁交互的大部分场景,比如网页/小程序游戏,网页聊天室,以及一些类似飞书这样的网页协同办公软件。
TCP 篇
TCP 是面向连接的、可靠的、基于字节流的传输层通信协议。
协议头

序列号:在建立连接时由计算机生成的随机数作为其初始值,通过 SYN 包传给接收端主机,每发送一次数据,就「累加」一次该「数据字节数」的大小。用来解决网络包乱序问题。
确认应答号:指下一次「期望」收到的数据的序列号,发送端收到这个确认应答以后可以认为在这个序号以前的数据都已经被正常接收。用来解决丢包的问题。
控制位:
- ACK:该位为
1时,「确认应答」的字段变为有效,TCP 规定除了最初建立连接时的SYN包之外该位必须设置为1。 - RST:该位为
1时,表示 TCP 连接中出现异常必须强制断开连接。 - SYN:该位为
1时,表示希望建立连接,并在其「序列号」的字段进行序列号初始值的设定。 - FIN:该位为
1时,表示今后不会再有数据发送,希望断开连接。当通信结束希望断开连接时,通信双方的主机之间就可以相互交换FIN位为 1 的 TCP 段。
TCP 和 UDP 区别
1. 连接
- TCP 是面向连接的传输层协议,传输数据前先要建立连接。
- UDP 是不需要连接,即刻传输数据。
2. 服务对象
- TCP 是一对一的两点服务,即一条连接只有两个端点。
- UDP 支持一对一、一对多、多对多的交互通信
3. 可靠性
- TCP 是可靠交付数据的,数据可以无差错、不丢失、不重复、按序到达。
- UDP 是尽最大努力交付,不保证可靠交付数据。但是我们可以基于 UDP 传输协议实现一个可靠的传输协议,比如 QUIC 协议,具体可以参见这篇文章:如何基于 UDP 协议实现可靠传输?
4. 拥塞控制、流量控制
- TCP 有拥塞控制和流量控制机制,保证数据传输的安全性。
- UDP 则没有,即使网络非常拥堵了,也不会影响 UDP 的发送速率。
5. 首部开销
- TCP 首部长度较长,会有一定的开销,首部在没有使用「选项」字段时是
20个字节,如果使用了「选项」字段则会变长的。 - UDP 首部只有 8 个字节,并且是固定不变的,开销较小。
6. 传输方式
- TCP 是流式传输,没有边界,但保证顺序和可靠。
- UDP 是一个包一个包的发送,是有边界的,但可能会丢包和乱序。
7. 分片不同
- TCP 的数据大小如果大于 MSS 大小,则会在传输层进行分片,目标主机收到后,也同样在传输层组装 TCP 数据包,如果中途丢失了一个分片,只需要传输丢失的这个分片。
- UDP 的数据大小如果大于 MTU 大小,则会在 IP 层进行分片,目标主机收到后,在 IP 层组装完数据,接着再传给传输层。
三次握手

第三次握手是可以携带数据的,前两次握手是不可以携带数据的
为什么是三次握手?不是两次、四次?
- 三次握手才可以阻止重复历史连接的初始化(主要原因)
- 客户端根据服务器的响应确认是不是旧的,如果是旧的就 RST
- 三次握手才可以同步双方的初始序列号
- 当客户端发送携带「初始序列号」的
SYN报文的时候,需要服务端回一个ACK应答报文,表示客户端的 SYN 报文已被服务端成功接收,那当服务端发送「初始序列号」给客户端的时候,依然也要得到客户端的应答回应,这样一来一回,才能确保双方的初始序列号能被可靠的同步。
- 当客户端发送携带「初始序列号」的
- 三次握手才可以避免资源浪费
- 如果只有「两次握手」,当客户端发生的
SYN报文在网络中阻塞,客户端没有接收到ACK报文,就会重新发送SYN,由于没有第三次握手,服务端不清楚客户端是否收到了自己回复的ACK报文,所以服务端每收到一个SYN就只能先主动建立一个连接,这会造成什么情况呢? - 如果客户端发送的
SYN报文在网络中阻塞了,重复发送多次SYN报文,那么服务端在收到请求后就会建立多个冗余的无效链接,造成不必要的资源浪费。
- 如果只有「两次握手」,当客户端发生的
第一次握手丢失了,会发生什么?
如果客户端迟迟收不到服务端的 SYN-ACK 报文(第二次握手),就会触发「超时重传」机制,重传 SYN 报文,而且重传的 SYN 报文的序列号都是一样的。
在 Linux 里,客户端的 SYN 报文最大重传次数由 tcp_syn_retries内核参数控制,这个参数是可以自定义的,默认值一般是 5。
通常,第一次超时重传是在 1 秒后,第二次超时重传是在 2 秒,第三次超时重传是在 4 秒后,第四次超时重传是在 8 秒后,第五次是在超时重传 16 秒后。没错,每次超时的时间是上一次的 2 倍。
第二次握手丢失了,会发生什么?
当服务端收到客户端的第一次握手后,就会回 SYN-ACK 报文给客户端,这个就是第二次握手,此时服务端会进入 SYN_RCVD 状态。
第二次握手的 SYN-ACK 报文其实有两个目的 :
- 第二次握手里的 ACK, 是对第一次握手的确认报文;
- 第二次握手里的 SYN,是服务端发起建立 TCP 连接的报文;
当第二次握手丢失了,客户端和服务端都会重传:
- 客户端会重传 SYN 报文,也就是第一次握手,最大重传次数由
tcp_syn_retries内核参数决定; - 服务端会重传 SYN-ACK 报文,也就是第二次握手,最大重传次数由
tcp_synack_retries内核参数决定。
在 Linux 下,SYN-ACK 报文的最大重传次数由 tcp_synack_retries内核参数决定,默认值是 5。
第三次握手丢失了,会发生什么?
客户端收到服务端的 SYN-ACK 报文后,就会给服务端回一个 ACK 报文,也就是第三次握手,此时客户端状态进入到 ESTABLISH 状态。
因为这个第三次握手的 ACK 是对第二次握手的 SYN 的确认报文,所以当第三次握手丢失了,如果服务端那一方迟迟收不到这个确认报文,就会触发超时重传机制,重传 SYN-ACK 报文,直到收到第三次握手,或者达到最大重传次数。
ACK 报文是不会有重传的,当 ACK 丢失了,就由对方重传对应的报文。
什么是 SYN 攻击?如何避免 SYN 攻击?
我们都知道 TCP 连接建立是需要三次握手,假设攻击者短时间伪造不同 IP 地址的 SYN 报文,服务端每接收到一个 SYN 报文,就进入SYN_RCVD 状态,但服务端发送出去的 ACK + SYN 报文,无法得到未知 IP 主机的 ACK 应答,久而久之就会占满服务端的半连接队列,使得服务端不能为正常用户服务。
在 TCP 三次握手的时候,Linux 内核会维护两个队列,分别是:
- 半连接队列,也称 SYN 队列;
- 全连接队列,也称 accept 队列;
SYN 攻击方式最直接的表现就会把 TCP 半连接队列打满,这样当 TCP 半连接队列满了,后续再在收到 SYN 报文就会丢弃,导致客户端无法和服务端建立连接。
避免 SYN 攻击方式,可以有以下四种方法:
- 调大 netdev_max_backlog;
- 当网卡接收数据包的速度大于内核处理的速度时,会有一个队列保存这些数据包。
- 增大 TCP 半连接队列;
- 增大 net.ipv4.tcp_max_syn_backlog
- 增大 listen() 函数中的 backlog
- 增大 net.core.somaxconn
- 开启 tcp_syncookies;
- 开启 syncookies 功能就可以在不使用 SYN 半连接队列的情况下成功建立连接,相当于绕过了 SYN 半连接来建立连接。
- 减少 SYN+ACK 重传次数
- 针对 SYN 攻击的场景,我们可以减少 SYN-ACK 的重传次数,以加快处于 SYN_REVC 状态的 TCP 连接断开。
四次挥手

每个方向都需要一个 FIN 和一个 ACK,因此通常被称为四次挥手。
主动关闭连接的,才有 TIME_WAIT 状态。
为什么挥手需要四次?
- 关闭连接时,客户端向服务端发送
FIN时,仅仅表示客户端不再发送数据了但是还能接收数据。 - 服务端收到客户端的
FIN报文时,先回一个ACK应答报文,而服务端可能还有数据需要处理和发送,等服务端不再发送数据时,才发送FIN报文给客户端来表示同意现在关闭连接。
从上面过程可知,服务端通常需要等待完成数据的发送和处理,所以服务端的 ACK 和 FIN 一般都会分开发送,因此是需要四次挥手。
第一次挥手丢失了,会发生什么?
当客户端(主动关闭方)调用 close 函数后,就会向服务端发送 FIN 报文,试图与服务端断开连接,此时客户端的连接进入到 FIN_WAIT_1 状态。
正常情况下,如果能及时收到服务端(被动关闭方)的 ACK,则会很快变为 FIN_WAIT2状态。
如果第一次挥手丢失了,那么客户端迟迟收不到被动方的 ACK 的话,也就会触发超时重传机制,重传 FIN 报文,重发次数由 tcp_orphan_retries 参数控制。

第二次挥手丢失了,会发生什么?
当服务端收到客户端的第一次挥手后,就会先回一个 ACK 确认报文,此时服务端的连接进入到 CLOSE_WAIT 状态。
在前面我们也提了,ACK 报文是不会重传的,所以如果服务端的第二次挥手丢失了,客户端就会触发超时重传机制,重传 FIN 报文,直到收到服务端的第二次挥手,或者达到最大的重传次数。
- 当客户端超时重传 2 次 FIN 报文后,由于 tcp_orphan_retries 为 2,已达到最大重传次数,于是再等待一段时间(时间为上一次超时时间的 2 倍),如果还是没能收到服务端的第二次挥手(ACK 报文),那么客户端就会断开连接。

第三次挥手丢失了,会发生什么?
当服务端(被动关闭方)收到客户端(主动关闭方)的 FIN 报文后,内核会自动回复 ACK,同时连接处于 CLOSE_WAIT 状态,顾名思义,它表示等待应用进程调用 close 函数关闭连接。
此时,内核是没有权利替代进程关闭连接,必须由进程主动调用 close 函数来触发服务端发送 FIN 报文。
服务端处于 CLOSE_WAIT 状态时,调用了 close 函数,内核就会发出 FIN 报文,同时连接进入 LAST_ACK 状态,等待客户端返回 ACK 来确认连接关闭。
如果迟迟收不到这个 ACK,服务端就会重发 FIN 报文,重发次数仍然由 tcp_orphan_retries 参数控制,这与客户端重发 FIN 报文的重传次数控制方式是一样的。

第四次挥手丢失了,会发生什么?
当客户端收到服务端的第三次挥手的 FIN 报文后,就会回 ACK 报文,也就是第四次挥手,此时客户端连接进入 TIME_WAIT 状态。
在 Linux 系统,TIME_WAIT 状态会持续 2MSL 后才会进入关闭状态。
然后,服务端(被动关闭方)没有收到 ACK 报文前,还是处于 LAST_ACK 状态。
如果第四次挥手的 ACK 报文没有到达服务端,服务端就会重发 FIN 报文,重发次数仍然由前面介绍过的 tcp_orphan_retries 参数控制。

为什么 TIME_WAIT 等待的时间是 2MSL?
MSL 是 Maximum Segment Lifetime,报文最大生存时间,它是任何报文在网络上存在的最长时间,超过这个时间报文将被丢弃。因为 TCP 报文基于是 IP 协议的,而 IP 头中有一个 TTL 字段,是 IP 数据报可以经过的最大路由数,每经过一个处理他的路由器此值就减 1,当此值为 0 则数据报将被丢弃,同时发送 ICMP 报文通知源主机。
MSL 与 TTL 的区别: MSL 的单位是时间,而 TTL 是经过路由跳数。所以 MSL 应该要大于等于 TTL 消耗为 0 的时间,以确保报文已被自然消亡。
TTL 的值一般是 64,Linux 将 MSL 设置为 30 秒,意味着 Linux 认为数据报文经过 64 个路由器的时间不会超过 30 秒,如果超过了,就认为报文已经消失在网络中了。
TIME_WAIT 等待 2 倍的 MSL,比较合理的解释是: 网络中可能存在来自发送方的数据包,当这些发送方的数据包被接收方处理后又会向对方发送响应,所以一来一回需要等待 2 倍的时间。
比如,如果被动关闭方没有收到断开连接的最后的 ACK 报文,就会触发超时重发 FIN 报文,另一方接收到 FIN 后,会重发 ACK 给被动关闭方, 一来一去正好 2 个 MSL。
可以看到 2MSL时长 这其实是相当于至少允许报文丢失一次。比如,若 ACK 在一个 MSL 内丢失,这样被动方重发的 FIN 会在第 2 个 MSL 内到达,TIME_WAIT 状态的连接可以应对。
为什么不是 4 或者 8 MSL 的时长呢?你可以想象一个丢包率达到百分之一的糟糕网络,连续两次丢包的概率只有万分之一,这个概率实在是太小了,忽略它比解决它更具性价比。
2MSL 的时间是从客户端接收到 FIN 后发送 ACK 开始计时的。如果在 TIME-WAIT 时间内,因为客户端的 ACK 没有传输到服务端,客户端又接收到了服务端重发的 FIN 报文,那么 2MSL 时间将重新计时。
在 Linux 系统里 2MSL 默认是 60 秒,那么一个 MSL 也就是 30 秒。Linux 系统停留在 TIME_WAIT 的时间为固定的 60 秒。
为什么需要 TIME_WAIT 状态?
主动发起关闭连接的一方,才会有 TIME-WAIT 状态。
需要 TIME-WAIT 状态,主要是两个原因:
- 防止历史连接中的数据,被后面相同四元组的连接错误的接收;
- 保证「被动关闭连接」的一方,能被正确的关闭;
TIME_WAIT 过多有什么危害?
过多的 TIME-WAIT 状态主要的危害有两种:
- 第一是占用系统资源,比如文件描述符、内存资源、CPU 资源、线程资源等;
- 第二是占用端口资源,端口资源也是有限的,一般可以开启的端口为
32768~61000,也可以通过net.ipv4.ip_local_port_range参数指定范围。
客户端和服务端 TIME_WAIT 过多,造成的影响是不同的。
如果客户端(主动发起关闭连接方)的 TIME_WAIT 状态过多,占满了所有端口资源,那么就无法对「目的 IP+ 目的 PORT」都一样的服务端发起连接了,但是被使用的端口,还是可以继续对另外一个服务端发起连接的。
如果服务端(主动发起关闭连接方)的 TIME_WAIT 状态过多,并不会导致端口资源受限,因为服务端只监听一个端口,而且由于一个四元组唯一确定一个 TCP 连接,因此理论上服务端可以建立很多连接,但是 TCP 连接过多,会占用系统资源,比如文件描述符、内存资源、CPU 资源、线程资源等。
如何优化 TIME_WAIT?
打开 net.ipv4.tcp_tw_reuse 和 net.ipv4.tcp_timestamps 选项;
- 复用处于 TIME_WAIT 的 socket 为新的连接所用。
net.ipv4.tcp_max_tw_buckets
- 当系统中处于 TIME_WAIT 的连接一旦超过这个值时,系统就会将后面的 TIME_WAIT 连接状态重置
程序中使用 SO_LINGER ,应用强制使用 RST 关闭。
我们可以通过设置 socket 选项,来设置调用 close 关闭连接行为。
1
2
3
4struct linger so_linger;
so_linger.l_onoff = 1;
so_linger.l_linger = 0;
setsockopt(s, SOL_SOCKET, SO_LINGER, &so_linger,sizeof(so_linger));如果
l_onoff为非 0, 且l_linger值为 0,那么调用close后,会立该发送一个RST标志给对端,该 TCP 连接将跳过四次挥手,也就跳过了TIME_WAIT状态,直接关闭。
服务器出现大量 TIME_WAIT 状态的原因有哪些?
首先要知道 TIME_WAIT 状态是主动关闭连接方才会出现的状态,所以如果服务器出现大量的 TIME_WAIT 状态的 TCP 连接,就是说明服务器主动断开了很多 TCP 连接。
什么场景下服务端会主动断开连接呢?
- 第一个场景:HTTP 没有使用长连接
- HTTP/1.0
- 第二个场景:HTTP 长连接超时
- 如果客户端在完后一个 HTTP 请求后,在 60 秒内都没有再发起新的请求,定时器的时间一到,nginx 就会触发回调函数来关闭该连接,那么此时服务端上就会出现 TIME_WAIT 状态的连接。
- 第三个场景:HTTP 长连接的请求数量达到上限
- 比如 nginx 的 keepalive_requests 这个参数,这个参数是指一个 HTTP 长连接建立之后,nginx 就会为这个连接设置一个计数器,记录这个 HTTP 长连接上已经接收并处理的客户端请求的数量。如果达到这个参数设置的最大值时,则 nginx 会主动关闭这个长连接,那么此时服务端上就会出现 TIME_WAIT 状态的连接。
- 针对这个场景下,解决的方式也很简单,调大 nginx 的 keepalive_requests 参数就行。
服务器出现大量 CLOSE_WAIT 状态的原因有哪些?
CLOSE_WAIT 状态是「被动关闭方」才会有的状态,而且如果「被动关闭方」没有调用 close 函数关闭连接,那么就无法发出 FIN 报文,从而无法使得 CLOSE_WAIT 状态的连接转变为 LAST_ACK 状态。
所以,当服务端出现大量 CLOSE_WAIT 状态的连接的时候,说明服务端的程序没有调用 close 函数关闭连接,通常都是代码问题。
我们先来分析一个普通的 TCP 服务端的流程:
- 创建服务端 socket,bind 绑定端口、listen 监听端口
- 将服务端 socket 注册到 epoll
- epoll_wait 等待连接到来,连接到来时,调用 accpet 获取已连接的 socket
- 将已连接的 socket 注册到 epoll
- epoll_wait 等待事件发生
- 对方连接关闭时,我方调用 close
如果已经建立了连接,但是客户端突然出现故障了怎么办?
为了避免这种情况,TCP 搞了个保活机制。这个机制的原理是这样的:
定义一个时间段,在这个时间段内,如果没有任何连接相关的活动,TCP 保活机制会开始作用,每隔一个时间间隔,发送一个探测报文,该探测报文包含的数据非常少,如果连续几个探测报文都没有得到响应,则认为当前的 TCP 连接已经死亡,系统内核将错误信息通知给上层应用程序。
如果已经建立了连接,但是服务端的进程崩溃会发生什么?
TCP 的连接信息是由内核维护的,所以当服务端的进程崩溃后,内核需要回收该进程的所有 TCP 连接资源,于是内核会发送第一次挥手 FIN 报文,后续的挥手过程也都是在内核完成,并不需要进程的参与,所以即使服务端的进程退出了,还是能与客户端完成 TCP 四次挥手的过程。
Socket 编程
listen 的 backlog 参数意义
Linux内核中会维护两个队列:
- 半连接队列(SYN 队列):接收到一个 SYN 建立连接请求,处于 SYN_RCVD 状态;
- 全连接队列(Accpet 队列):已完成 TCP 三次握手过程,处于 ESTABLISHED 状态;

在 Linux 内核 2.2 之后,backlog 变成 accept 队列,也就是已完成连接建立的队列长度,所以现在通常认为 backlog 是 accept 队列。
但是上限值是内核参数 somaxconn 的大小,也就说 accpet 队列长度 = min(backlog, somaxconn)。
accept 发生在三次握手的哪一步?

从上面的描述过程,我们可以得知客户端 connect 成功返回是在第二次握手,服务端 accept 成功返回是在三次握手成功之后。
客户端调用 close 了,连接是断开的流程是什么?

- 客户端调用
close,表明客户端没有数据需要发送了,则此时会向服务端发送 FIN 报文,进入 FIN_WAIT_1 状态; - 服务端接收到了 FIN 报文,TCP 协议栈会为 FIN 包插入一个文件结束符
EOF到接收缓冲区中,应用程序可以通过read调用来感知这个 FIN 包。这个EOF会被放在已排队等候的其他已接收的数据之后,这就意味着服务端需要处理这种异常情况,因为 EOF 表示在该连接上再无额外数据到达。此时,服务端进入 CLOSE_WAIT 状态; - 接着,当处理完数据后,自然就会读到
EOF,于是也调用close关闭它的套接字,这会使得服务端发出一个 FIN 包,之后处于 LAST_ACK 状态; - 客户端接收到服务端的 FIN 包,并发送 ACK 确认包给服务端,此时客户端将进入 TIME_WAIT 状态;
- 服务端收到 ACK 确认包后,就进入了最后的 CLOSE 状态;
- 客户端经过
2MSL时间之后,也进入 CLOSE 状态;
没有 accept,能建立 TCP 连接吗?
答案:可以的。
accpet 系统调用并不参与 TCP 三次握手过程,它只是负责从 TCP 全连接队列取出一个已经建立连接的 socket,用户层通过 accpet 系统调用拿到了已经建立连接的 socket,就可以对该 socket 进行读写操作了。
没有 listen,能建立 TCP 连接吗?
答案:可以的。
客户端是可以自己连自己的形成连接(TCP自连接),也可以两个客户端同时向对方发出请求建立连接(TCP同时打开),这两个情况都有个共同点,就是没有服务端参与,也就是没有 listen,就能 TCP 建立连接。
TCP 和 UDP 可以同时绑定相同的端口吗?
答案:可以的。
在数据链路层中,通过 MAC 地址来寻找局域网中的主机。在网际层中,通过 IP 地址来寻找网络中互连的主机或路由器。在传输层中,需要通过端口进行寻址,来识别同一计算机中同时通信的不同应用程序。
所以,传输层的「端口号」的作用,是为了区分同一个主机上不同应用程序的数据包。
传输层有两个传输协议分别是 TCP 和 UDP,在内核中是两个完全独立的软件模块。
多个 TCP 服务进程可以绑定同一个端口吗?
这个问题的答案是:如果两个 TCP 服务进程同时绑定的 IP 地址和端口都相同,那么执行 bind() 时候就会出错,错误是“Address already in use”。
重启 TCP 服务进程时,为什么会有“Address in use”的报错信息?
当 TCP 服务进程重启时,服务端会出现 TIME_WAIT 状态的连接,TIME_WAIT 状态的连接使用的 IP+PORT 仍然被认为是一个有效的 IP+PORT 组合,相同机器上不能够在该 IP+PORT 组合上进行绑定,那么执行 bind() 函数的时候,就会返回了 Address already in use 的错误。
我们可以在调用 bind 前,对 socket 设置 SO_REUSEADDR 属性,可以解决这个问题。
1 | |
因为 SO_REUSEADDR 作用是:如果当前启动进程绑定的 IP+PORT 与处于TIME_WAIT 状态的连接占用的 IP+PORT 存在冲突,但是新启动的进程使用了 SO_REUSEADDR 选项,那么该进程就可以绑定成功。
序列号和确认号
发送的 TCP 报文:
- 公式一:序列号 = 上一次发送的序列号 + len(数据长度)。特殊情况,如果上一次发送的报文是 SYN 报文或者 FIN 报文,则改为 上一次发送的序列号 + 1。
- 公式二:确认号 = 上一次收到的报文中的序列号 + len(数据长度)。特殊情况,如果收到的是 SYN 报文或者 FIN 报文,则改为上一次收到的报文中的序列号 + 1。
- 序列号:在建立连接时由内核生成的随机数作为其初始值,通过 SYN 报文传给接收端主机,每发送一次数据,就「累加」一次该「数据字节数」的大小。用来解决网络包乱序问题。
- 确认号:指下一次「期望」收到的数据的序列号,发送端收到接收方发来的 ACK 确认报文以后,就可以认为在这个序号以前的数据都已经被正常接收。用来解决丢包的问题。
- 控制位:用来标识 TCP 报文是什么类型的报文,比如是 SYN 报文、数据报文、ACK 报文,FIN 报文等。

IP 篇
网络层的主要作用是:实现主机与主机之间的通信,也叫点对点(end to end)通信。
MAC(数据链路层) 的作用则是实现「直连」的两个设备之间通信,而 IP 则负责在「没有直连」的两个网络之间进行通信传输。
IP 地址分类

无分类地址 CIDR
32 比特的 IP 地址被划分为两部分,前面是网络号,后面是主机号
表示形式 a.b.c.d/x,其中 /x 表示前 x 位属于网络号, x 的范围是 0 ~ 32,这就使得 IP 地址更加具有灵活性。
为什么要分离网络号和主机号?
因为两台计算机要通讯,首先要判断是否处于同一个广播域内,即网络地址是否相同。如果网络地址相同,表明接受方在本网络上,那么可以把数据包直接发送到目标主机。
路由器寻址工作中,也就是通过这样的方式来找到对应的网络号的,进而把数据包转发给对应的网络内。
怎么进行子网划分?
子网划分实际上是将主机地址分为两个部分:子网网络地址和子网主机地址。形式如下:

IPV6
IPv4 的地址是 32 位的,大约可以提供 42 亿个地址,但是早在 2011 年 IPv4 地址就已经被分配完了。
但是 IPv6 的地址是 128 位的。 IPv4 和 IPv6 不能相互兼容。
IPv6 的亮点
- IPv6 可自动配置,即使没有 DHCP 服务器也可以实现自动分配IP地址,真是便捷到即插即用啊。
- IPv6 包头包首部长度采用固定的值
40字节,去掉了包头校验和,简化了首部结构,减轻了路由器负荷,大大提高了传输的性能。 - IPv6 有应对伪造 IP 地址的网络安全功能以及防止线路窃听的功能,大大提升了安全性。
IPv6 地址的结构
IPv6 的地址主要有以下类型地址:
- 单播地址,用于一对一的通信
- 组播地址,用于一对多的通信
- 任播地址,用于通信最近的节点,最近的节点是由路由协议决定
- 没有广播地址

对于一对一通信的 IPv6 地址,主要划分了三类单播地址,每类地址的有效范围都不同。
- 在同一链路单播通信,不经过路由器,可以使用链路本地单播地址,IPv4 没有此类型
- 在内网里单播通信,可以使用唯一本地地址,相当于 IPv4 的私有 IP
- 在互联网通信,可以使用全局单播地址,相当于 IPv4 的公有 IP
IPv4 首部与 IPv6 首部

IPv6 相比 IPv4 的首部改进:
- 取消了首部校验和字段。 因为在数据链路层和传输层都会校验,因此 IPv6 直接取消了 IP 的校验。
- 取消了分片/重新组装相关字段。 分片与重组是耗时的过程,IPv6 不允许在中间路由器进行分片与重组,这种操作只能在源与目标主机,这将大大提高了路由器转发的速度。
- 取消选项字段。 选项字段不再是标准 IP 首部的一部分了,但它并没有消失,而是可能出现在 IPv6 首部中的「下一个首部」指出的位置上。删除该选项字段使的 IPv6 的首部成为固定长度的
40字节。
IP 协议相关技术
DNS
域名 -> IP 地址
ARP
IP 地址 -> MAC 地址
RARP
MAC 地址 -> IP 地址
将打印机服务器等小型嵌入式设备接入到网络时就经常会用得到。
DHCP
DHCP 客户端进程监听的是 68 端口号,DHCP 服务端进程监听的是 67 端口号。
- 客户端首先发起 DHCP 发现报文(DHCP DISCOVER) 的 IP 数据报,由于客户端没有 IP 地址,也不知道 DHCP 服务器的地址,所以使用的是 UDP 广播通信,其使用的广播目的地址是 255.255.255.255(端口 67) 并且使用 0.0.0.0(端口 68) 作为源 IP 地址。DHCP 客户端将该 IP 数据报传递给链路层,链路层然后将帧广播到所有的网络中设备。
- DHCP 服务器收到 DHCP 发现报文时,用 DHCP 提供报文(DHCP OFFER) 向客户端做出响应。该报文仍然使用 IP 广播地址 255.255.255.255,该报文信息携带服务器提供可租约的 IP 地址、子网掩码、默认网关、DNS 服务器以及 IP 地址租用期。
- 客户端收到一个或多个服务器的 DHCP 提供报文后,从中选择一个服务器,并向选中的服务器发送 DHCP 请求报文(DHCP REQUEST)进行响应,回显配置的参数。
- 最后,服务端用 DHCP ACK 报文 对 DHCP 请求报文进行响应,应答所要求的参数。
如果 DHCP 服务器和客户端不是在同一个局域网内,路由器又不会转发广播包,那不是每个网络都要配一个 DHCP 服务器?
所以,为了解决这一问题,就出现了 DHCP 中继代理。有了 DHCP 中继代理以后,对不同网段的 IP 地址分配也可以由一个 DHCP 服务器统一进行管理。
NAT
可以把 IP 地址 + 端口号一起转换为全球 IP + 端口
于是,生成一个 NAPT 路由器的转换表,就可以正确地转换地址跟端口的组合,令客户端 A、B 能同时与服务器之间进行通信。
由于 NAT/NAPT 都依赖于自己的转换表,因此会有以下的问题:
- 外部无法主动与 NAT 内部服务器建立连接,因为 NAPT 转换表没有转换记录。
- 转换表的生成与转换操作都会产生性能开销。
- 通信过程中,如果 NAT 路由器重启了,所有的 TCP 连接都将被重置。
解决办法:
- IPV6
- NAT 穿透技术
- 让网络应用程序主动发现自己位于 NAT 设备之后,并且会主动获得 NAT 设备的公有 IP,并为自己建立端口映射条目,注意这些都是 NAT设备后的应用程序自动完成的。
ICMP
ICMP 全称是 Internet Control Message Protocol,也就是互联网控制报文协议。
确认 IP 包是否成功送达目标地址、报告发送过程中 IP 包被废弃的原因和改善网络设置等。
Ping 的原理
回送消息用于进行通信的主机或路由器之间,判断所发送的数据包是否已经成功到达对端的一种消息,ping 命令就是利用这个消息实现的。
traceroute —— 差错报文类型的使用
traceroute 的第一个作用就是故意设置特殊的 TTL,来追踪去往目的地时沿途经过的路由器。
它的原理就是利用 IP 包的生存期限 从 1 开始按照顺序递增的同时发送 UDP 包,强制接收 ICMP 超时消息的一种方法。
比如,将 TTL 设置 为 1,则遇到第一个路由器,就牺牲了,接着返回 ICMP 差错报文网络包,类型是时间超时。
接下来将 TTL 设置为 2,第一个路由器过了,遇到第二个路由器也牺牲了,也同时返回了 ICMP 差错报文数据包,如此往复,直到到达目的主机。
这样的过程,traceroute 就可以拿到了所有的路由器 IP。
发送方如何知道发出的 UDP 包是否到达了目的主机呢?
traceroute 在发送 UDP 包时,会填入一个不可能的端口号值作为 UDP 目标端口号:33434。然后对于每个下一个探针,它都会增加一个,这些端口都是通常认为不会被使用,不过,没有人知道当某些应用程序监听此类端口时会发生什么。
当目的主机,收到 UDP 包后,会返回 ICMP 差错报文消息,但这个差错报文消息的类型是「端口不可达」。
所以,当差错报文类型是端口不可达时,说明发送方发出的 UDP 包到达了目的主机。
traceroute 还有一个作用是故意设置不分片,从而确定路径的 MTU。
这样做的目的是为了路径MTU发现。
SSH 访问 Server 的整个网络流程是怎样的
1. 客户端发起连接(TCP握手)
- 客户端(SSH Client) 通过命令如
ssh user@host发起连接。 - 使用 TCP协议 连接服务器的 22端口(默认端口,可配置)。
- 完成 三次握手(Three-way Handshake) 来建立基础的网络连接。
2. SSH协议协商(版本与加密)
- 客户端和服务器互相发送 SSH版本信息(例如
SSH-2.0-OpenSSH_8.0)。 - 协商使用的加密算法,包括:
- 密钥交换算法(如
diffie-hellman) - 对称加密算法(如
AES) - MAC算法(消息认证,如
hmac-sha2-256)
- 密钥交换算法(如
- 确定后,进入密钥交换流程。
3. 密钥交换(Key Exchange)
- 双方使用 Diffie-Hellman 或其他密钥交换协议生成共享密钥(Session Key)。
- 过程如下:
- 服务器生成一对密钥,发送公钥给客户端;
- 客户端基于公钥生成共享密钥材料;
- 双方计算出相同的共享密钥(但彼此不知道对方私钥)。
- 传输加密开始:后续通信开始使用这个共享密钥加密。
以常见的 Diffie-Hellman Group14 为例:
服务器生成私钥
x,计算e = g^x mod p;客户端生成私钥
y,计算f = g^y mod p;双方交换
e和f;都计算共享密钥:
1
K = f^x mod p = e^y mod p = g^(xy) mod p客户端生成 session ID(称为 exchange hash
H):1
H = hash(V_C || V_S || I_C || I_S || K_S || e || f || K)V_C:客户端版本字符串V_S:服务器版本字符串I_C/I_S:KEXINIT 数据包K_S:服务器公钥
服务器用其主机私钥对
H签名,客户端验证签名来 确认服务器身份。使用
K和H推导出多个密钥:1
session_key = hash(K || H || ID)
🔐 至此,加密会话建立成功。
4. 服务器身份验证
- 服务器将自己公钥的签名发送给客户端;
- 客户端校验:
- 公钥是否可信(是否在
~/.ssh/known_hosts中); - 签名是否正确。
- 公钥是否可信(是否在
- 防止中间人攻击。
5. 用户身份验证
客户端进行身份验证,有以下几种方式:
| 方式 | 描述 |
|---|---|
| 密码登录 | 用户输入密码,服务器验证 |
| 公钥登录 | 客户端发送公钥,服务器验证是否信任该公钥,并用其加密 challenge |
| 多因素认证 | 增加 OTP、验证码等 |
验证成功后,服务器返回成功响应。
6. 建立会话和执行命令
- 会话通道建立,客户端可以:
- 启动 shell(如 bash)
- 执行远程命令(如
ls,top) - 启动 SFTP 或端口转发(例如
-L、-R参数)
每一个行为都会开启一个独立的子通道(channel),但都在同一个 SSH 连接中。
SSH 的端口转发是怎么实现的
SSH 支持三种端口转发模式:
| 模式名称 | 命令参数 | 流量方向 | 应用场景 |
|---|---|---|---|
| 本地端口转发(Local) | -L |
客户端 → 服务器再转发 | 访问内网资源 |
| 远程端口转发(Remote) | -R |
服务器 → 客户端再转发 | 暴露内网服务给外部 |
| 动态端口转发(Dynamic) | -D |
SOCKS 代理(客户端) | 构建加密代理,像 VPN 一样使用 |
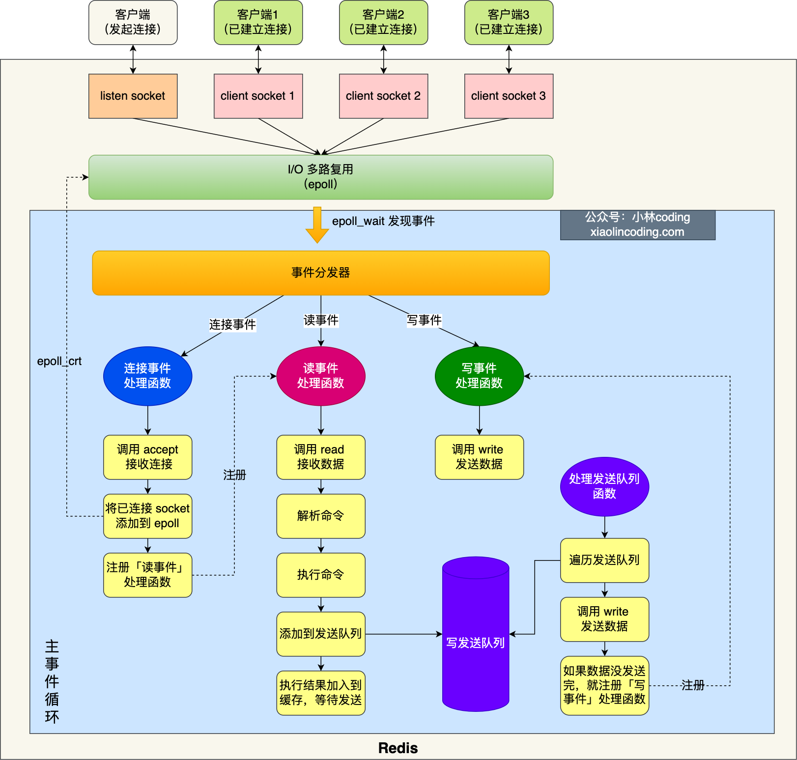
redis,nginx,netty 是依赖什么做的这么高性能?
主要是依赖Reactor 模式实现了高性能网络模式,这个是在i/o多路复用接口基础上实现的了网络模型。Reactor 翻译过来的意思是「反应堆」,这里的反应指的是「对事件反应」,也就是来了一个事件,Reactor 就有相对应的反应/响应。
Reactor 模式主要由 Reactor 和处理资源池这两个核心部分组成,它俩负责的事情如下:
- Reactor 负责监听和分发事件,事件类型包含连接事件、读写事件;
- 处理资源池负责处理事件,如 read -> 业务逻辑 -> send;
Reactor 模式是灵活多变的,可以应对不同的业务场景,灵活在于:
- Reactor 的数量可以只有一个,也可以有多个;
- 处理资源池可以是单个进程 / 线程,也可以是多个进程 /线程;
Redis
Redis 6.0 之前使用的 Reactor 模型就是单 Reactor 单进程模式。单 Reactor 单进程的方案因为全部工作都在同一个进程内完成,所以实现起来比较简单,不需要考虑进程间通信,也不用担心多进程竞争。

但是,这种方案存在 2 个缺点:
- 第一个缺点,因为只有一个进程,无法充分利用 多核 CPU 的性能;
- 第二个缺点,Handler 对象在业务处理时,整个进程是无法处理其他连接的事件的,如果业务处理耗时比较长,那么就造成响应的延迟;
所以,单 Reactor 单进程的方案不适用计算机密集型的场景,只适用于业务处理非常快速的场景。
Redis 是由 C 语言实现的,在 Redis 6.0 版本之前采用的正是「单 Reactor 单进程」的方案,因为 Redis 业务处理主要是在内存中完成,操作的速度是很快的,性能瓶颈不在 CPU 上,所以 Redis 对于命令的处理是单进程的方案。
Netty
Netty 是采用了多 Reactor 多线程方案,如下图:

多 Reactor 多线程的方案优势:
- 主线程和子线程分工明确,主线程只负责接收新连接,子线程负责完成后续的业务处理。
- 主线程和子线程的交互很简单,主线程只需要把新连接传给子线程,子线程无须返回数据,直接就可以在子线程将处理结果发送给客户端。
nginx
nginx 是多 Reactor 多进程方案,不过方案与标准的多 Reactor 多进程有些差异。

具体差异表现在主进程中仅仅用来初始化 socket,并没有创建 mainReactor 来 accept 连接,而是由子进程的 Reactor 来 accept 连接,通过锁来控制一次只有一个子进程进行 accept(防止出现惊群现象),子进程 accept 新连接后就放到自己的 Reactor 进行处理,不会再分配给其他子进程。
惊群现象是什么?
“惊群现象(Thundering Herd Problem)”是一个在高并发服务器中常见的性能问题,尤其在使用 多进程 / 多线程 或 多协程模型 并通过 select、poll、epoll 等监听同一 socket 时更为突出。
当多个进程或线程 同时等待某个资源(如 socket 连接、文件描述符事件),而这个资源变得可用时,所有等待者会一起被唤醒,但最终只有一个能真正处理这个事件,其他的白白被唤醒后又回去睡眠。
这就像一群牛(herd)都在等门开吃草(资源),门一开,所有牛都冲上来(惊群),但其实只够一头牛吃,其他牛白跑一趟。
为什么它是个问题?
| 影响 | 说明 |
|---|---|
| CPU资源浪费 | 多个进程/线程被唤醒、竞争、失败、重新等待,频繁上下文切换 |
| 可扩展性变差 | 越多 worker,越容易发生激烈竞争 |
| 系统性能抖动 | 在高并发场景中可能出现延迟波动甚至连接失败 |
惊群出现的场景
| 场景 | 是否可能惊群 |
|---|---|
| 多进程都监听同一个 socket | ✅ 高概率 |
| 多线程/协程在同一个 epoll 上 wait | ✅ |
| 多进程共享 epoll fd | ✅ |
| 单线程/单进程异步 epoll | ❌ 安全 |
如何解决惊群问题?
以下是多种有效缓解或避免惊群的方法:
1. 使用 epoll + EPOLLEXCLUSIVE(Linux 4.5+)
1 | |
- 内核保证 每个事件只唤醒一个监听者
- 解决根本问题,但仅在 Linux 4.5+ 可用
2. 使用 Accept Mutex(Nginx做法)
- 设一个全局“抢锁”逻辑,只允许一个 worker accept 连接,其他 worker 等待锁。
- 每次连接处理完后释放锁给其他 worker。
- 减少无效唤醒。
3. 只用一个进程负责 accept,其他处理连接
- 主进程专门 accept,然后将连接通过 Unix Socket 或 pipe 分发给其他 worker。
- 类似于“负载均衡器 + worker pool”。
4. reuseport(Linux 3.9+)
- 多进程都 bind 同一个端口,但内核进行连接负载均衡。
- 各进程各自处理连接,不共享 socket。
1 | |
零拷贝是什么?
传统 IO 的工作方式,从硬盘读取数据,然后再通过网卡向外发送,我们需要进行 4 上下文切换,和 4 次数据拷贝,其中 2 次数据拷贝发生在内存里的缓冲区和对应的硬件设备之间,这个是由 DMA 完成,另外 2 次则发生在内核态和用户态之间,这个数据搬移工作是由 CPU 完成的。

为了提高文件传输的性能,于是就出现了零拷贝技术,它通过一次系统调用(sendfile 方法)合并了磁盘读取与网络发送两个操作,降低了上下文切换次数。另外,拷贝数据都是发生在内核中的,天然就降低了数据拷贝的次数。

sendfile函数在两个文件描述符之间传递数据(完全在内核中操作),从而避免了内核缓冲区和用户缓冲区之间的数据拷贝,效率很高,被称为零拷贝。函数定义为:
1 | |
in_fd必须是一个支持类似mmap函数的文件描述符,即它必须指向真实的文件,不能是socket和管道,而out_fd必须是一个socket。
零拷贝技术的文件传输方式相比传统文件传输的方式,减少了 2 次上下文切换和数据拷贝次数,只需要 2 次上下文切换和数据拷贝次数,就可以完成文件的传输,而且 2 次的数据拷贝过程,都不需要通过 CPU,2 次都是由 DMA 来搬运。
总体来看,零拷贝技术可以把文件传输的性能提高至少一倍以上。
零拷贝有哪些坏处?
增加系统复杂性
🔍 原因:
- 使用零拷贝往往要跳过用户空间的缓冲逻辑,靠内核直接搬运;
- 程序中不能直接“看到/修改”正在传输的数据;
- 必须重新设计:应用逻辑不再处理字节流,而只处理传输动作。
💥 后果:
开发更复杂,调试更困难;
不适合需要修改数据内容的场景(如 HTTP gzip压缩、加密等)。
缓冲控制能力下降
🔍 原因:
- 零拷贝数据不会进入用户空间内存;
- 应用层看不到 buffer 的真实状态,难以控制其生命周期。
💥 后果:
- 对数据生命周期、流控(Flow Control)管理不灵;
- 很难与业务缓存、对象池等机制协同。
不支持数据加工(无法中间处理)
🔍 原因:
- 零拷贝数据不会真正经过用户程序;
- 例如
sendfile():直接从文件拷贝到 socket,用户程序无法插入压缩、加密逻辑。
💥 后果:
- 数据不可变;
- 必须借助其他 I/O 手段(如 mmap + copy)来实现“边传边处理”。
零拷贝可能导致内核资源消耗上升
sendfile() 会增加 页缓存(page cache)压力;
如果发送数据速度过快,可能导致socket buffer 占满、内存水位升高;
零拷贝不当控制还可能导致TCP 拥塞控制失效(比如 buffer 溢出前未 flush)。
回顾前面说道文件传输过程,其中第一步都是先需要先把磁盘文件数据拷贝「内核缓冲区」里,这个「内核缓冲区」实际上是磁盘高速缓存(*PageCache*)。
由于零拷贝使用了 PageCache 技术,可以使得零拷贝进一步提升了性能,我们接下来看看 PageCache 是如何做到这一点的。
读写磁盘相比读写内存的速度慢太多了,所以我们应该想办法把「读写磁盘」替换成「读写内存」。于是,我们会通过 DMA 把磁盘里的数据搬运到内存里,这样就可以用读内存替换读磁盘。
但是,内存空间远比磁盘要小,内存注定只能拷贝磁盘里的一小部分数据。
那问题来了,选择哪些磁盘数据拷贝到内存呢?
我们都知道程序运行的时候,具有「局部性」,所以通常,刚被访问的数据在短时间内再次被访问的概率很高,于是我们可以用 PageCache 来缓存最近被访问的数据,当空间不足时淘汰最久未被访问的缓存。
所以,读磁盘数据的时候,优先在 PageCache 找,如果数据存在则可以直接返回;如果没有,则从磁盘中读取,然后缓存 PageCache 中。
还有一点,读取磁盘数据的时候,需要找到数据所在的位置,但是对于机械磁盘来说,就是通过磁头旋转到数据所在的扇区,再开始「顺序」读取数据,但是旋转磁头这个物理动作是非常耗时的,为了降低它的影响,PageCache 使用了「预读功能」。
比如,假设 read 方法每次只会读 32 KB 的字节,虽然 read 刚开始只会读 0 ~ 32 KB 的字节,但内核会把其后面的 32~64 KB 也读取到 PageCache,这样后面读取 32~64 KB 的成本就很低,如果在 32~64 KB 淘汰出 PageCache 前,进程读取到它了,收益就非常大。
所以,PageCache 的优点主要是两个:
- 缓存最近被访问的数据;
- 预读功能;
这两个做法,将大大提高读写磁盘的性能。
但是,在传输大文件(GB 级别的文件)的时候,PageCache 会不起作用,那就白白浪费 DMA 多做的一次数据拷贝,造成性能的降低,即使使用了 PageCache 的零拷贝也会损失性能
这是因为如果你有很多 GB 级别文件需要传输,每当用户访问这些大文件的时候,内核就会把它们载入 PageCache 中,于是 PageCache 空间很快被这些大文件占满。
另外,由于文件太大,可能某些部分的文件数据被再次访问的概率比较低,这样就会带来 2 个问题:
- PageCache 由于长时间被大文件占据,其他「热点」的小文件可能就无法充分使用到 PageCache,于是这样磁盘读写的性能就会下降了;
- PageCache 中的大文件数据,由于没有享受到缓存带来的好处,但却耗费 DMA 多拷贝到 PageCache 一次;
所以,针对大文件的传输,不应该使用 PageCache,也就是说不应该使用零拷贝技术,因为可能由于 PageCache 被大文件占据,而导致「热点」小文件无法利用到 PageCache,这样在高并发的环境下,会带来严重的性能问题。
大文件传输用什么方式实现?
那针对大文件的传输,我们应该使用什么方式呢?
我们先来看看最初的例子,当调用 read 方法读取文件时,进程实际上会阻塞在 read 方法调用,因为要等待磁盘数据的返回,如下图:

具体过程:
- 当调用 read 方法时,会阻塞着,此时内核会向磁盘发起 I/O 请求,磁盘收到请求后,便会寻址,当磁盘数据准备好后,就会向内核发起 I/O 中断,告知内核磁盘数据已经准备好;
- 内核收到 I/O 中断后,就将数据从磁盘控制器缓冲区拷贝到 PageCache 里;
- 最后,内核再把 PageCache 中的数据拷贝到用户缓冲区,于是 read 调用就正常返回了。
对于阻塞的问题,可以用异步 I/O 来解决,它工作方式如下图:

它把读操作分为两部分:
- 前半部分,内核向磁盘发起读请求,但是可以不等待数据就位就可以返回,于是进程此时可以处理其他任务;
- 后半部分,当内核将磁盘中的数据拷贝到进程缓冲区后,进程将接收到内核的通知,再去处理数据;
而且,我们可以发现,异步 I/O 并没有涉及到 PageCache,所以使用异步 I/O 就意味着要绕开 PageCache。
绕开 PageCache 的 I/O 叫直接 I/O,使用 PageCache 的 I/O 则叫缓存 I/O。通常,对于磁盘,异步 I/O 只支持直接 I/O。
前面也提到,大文件的传输不应该使用 PageCache,因为可能由于 PageCache 被大文件占据,而导致「热点」小文件无法利用到 PageCache。
于是,在高并发的场景下,针对大文件的传输的方式,应该使用「异步 I/O + 直接 I/O」来替代零拷贝技术。
直接 I/O 应用场景常见的两种:
- 应用程序已经实现了磁盘数据的缓存,那么可以不需要 PageCache 再次缓存,减少额外的性能损耗。在 MySQL 数据库中,可以通过参数设置开启直接 I/O,默认是不开启;
- 传输大文件的时候,由于大文件难以命中 PageCache 缓存,而且会占满 PageCache 导致「热点」文件无法充分利用缓存,从而增大了性能开销,因此,这时应该使用直接 I/O。
另外,由于直接 I/O 绕过了 PageCache,就无法享受内核的这两点的优化:
- 内核的 I/O 调度算法会缓存尽可能多的 I/O 请求在 PageCache 中,最后「合并」成一个更大的 I/O 请求再发给磁盘,这样做是为了减少磁盘的寻址操作;
- 内核也会「预读」后续的 I/O 请求放在 PageCache 中,一样是为了减少对磁盘的操作;
于是,传输大文件的时候,使用「异步 I/O + 直接 I/O」了,就可以无阻塞地读取文件了。
所以,传输文件的时候,我们要根据文件的大小来使用不同的方式:
- 传输大文件的时候,使用「异步 I/O + 直接 I/O」;
- 传输小文件的时候,则使用「零拷贝技术」;
在 nginx 中,我们可以用如下配置,来根据文件的大小来使用不同的方式:
1 | |
当文件大小大于 directio 值后,使用「异步 I/O + 直接 I/O」,否则使用「零拷贝技术」。
直接内存
在 Java / JVM 中的直接内存(Direct Memory)
指 不受 JVM 垃圾回收器(GC)控制 的内存;
使用 ByteBuffer.allocateDirect() 创建;
实际上是通过 JNI(native调用)向操作系统申请的堆外内存。
特点
| 特性 | 描述 |
|---|---|
| 不占 Java 堆空间 | 不影响 GC 性能 |
| 手动释放或等待 JVM finalize | 不受 GC 控制,需谨慎管理 |
| 适用于 I/O 场景 | 与 FileChannel、SocketChannel 配合使用效率高 |
作用场景
- Netty、Kafka、Hadoop 等中间件广泛使用;
- 适合零拷贝传输、减少内存复制;
- 可以减少 GC 频率,提升性能。
示例代码
1 | |
这样申请的是堆外内存,JVM 通过 Unsafe 或 malloc 分配。
在 操作系统 / 网络IO 中的直接内存(DMA / Zero-Copy)
指不经过 CPU 用户空间的数据传输方式;
数据直接在 I/O 设备和内核缓冲区之间搬运,绕过用户态缓冲。
比如 sendfile()、mmap()、splice() 中用到的就是直接内存传输机制。
直接内存 vs 常规内存对比
| 项目 | 堆内存(Heap) | 直接内存(Direct) |
|---|---|---|
| 控制权 | 由 JVM 控制(GC) | 操作系统控制,JVM 仅引用指针 |
| 访问方式 | 普通对象操作、数组 | 通过 ByteBuffer 映射 |
| 性能 | 频繁GC可能导致性能抖动 | 高效、适合高频IO |
| 分配/释放成本 | 快速 | 相对慢(可能涉及 JNI / mmap) |
直接内存不受 -Xmx 限制,但受 -XX:MaxDirectMemorySize 控制;
如果分配过多直接内存而不释放,可能导致 OOM(OutOfMemoryError: Direct buffer memory);
直接内存不能自动回收,必须显式释放或通过 Cleaner。
Netty 对直接内存的优化
使用堆外内存(DirectBuffer)
- 默认就偏向使用 DirectByteBuffer(除非手动改为 heap buffer);
- 原因:避免一次用户空间的内存复制(I/O 更快);
- 对于 NIO 的
SocketChannel.read()/write(),ByteBuffer.allocateDirect()性能更优。
1 | |
引入内存池(PooledByteBufAllocator)
Netty 默认使用 池化分配器,它封装了类似 jemalloc 的 内存分级分配策略。
✨ 特点:
| 特性 | 描述 |
|---|---|
避免频繁 malloc / free |
使用预分配好的大块内存 |
| 减少 GC 压力 | 内存块复用,避免频繁创建和销毁对象 |
| 线程本地缓存 | 提高线程间隔离性与分配效率 |
| 分级划分块 | 将内存分成 tiny、small、normal 三类 |
PooledByteBufAllocator.DEFAULT是 Netty 的默认分配器。
📦 内存分类结构(简略):
1 | |
- 一个线程在需要 buffer 时,从自己的本地缓存取;
- 没有的话,就从内存池的 chunk/page 分配。
Recycle机制(Recycler)
Netty 的所有 ByteBuf 实例并不会每次都 new,而是通过自定义的 Recycler:
- 类似对象池(Object Pool);
- 使用线程本地缓存;
- 减少频繁的堆内存垃圾生成;
- 适用于
ByteBuf、ChannelHandlerContext、Promise等 Netty 核心对象。
1 | |
支持对 buffer 的零拷贝处理
Netty 提供了多个 组合型 buffer 操作,进一步减少数据复制:
🧩 组合 Buffer(CompositeByteBuf):
- 多个
ByteBuf合成一个逻辑缓冲区; - 避免为了拼接数据而手动 copy;
- 底层数据仍存在多个内存块中,但逻辑上视为一个整体。
1 | |
手动释放 DirectBuffer
Netty 使用了 ReferenceCounted 接口管理内存引用计数:
- 每个
ByteBuf都可以调用retain()/release(); - 防止内存泄漏(尤其是直接内存);
- 支持引用计数的 buffer 只在没有引用后才回收。
1 | |
📌 所有 handler、codec、pipeline 操作都要求你在 buffer 使用后记得释放。
Netty中直接内存的内存池分配算法
Netty 中的直接内存池分配算法是其高性能架构的核心组成部分之一。它参考了 jemalloc 的思想,构建了一套适用于网络通信场景的分级内存管理机制。
所有内存管理逻辑由类 PooledByteBufAllocator 驱动,底层通过 PoolArena、PoolChunk、PoolSubpage 来组织内存。
分配器结构层级
1 | |
每个线程会绑定一个 ThreadCache,优先从本地 cache 取块。
内存划分粒度
Netty 采用 分级粒度策略 分配不同大小的数据块:
| 内存类型 | 大小范围 | 分配结构 |
|---|---|---|
| tiny | < 512 B | Subpage |
| small | 512 B ~ page size | Subpage |
| normal | page size ~ chunk | 从 PoolChunk 分配页 |
| huge | > chunk | 直接 malloc |
分配算法逻辑:分配一个 1024 字节的 direct buffer
步骤 1:选择 Arena
- Netty 初始化时分配多个
PoolArena实例(CPU 核心数相关); - 当前线程绑定一个
PoolThreadCache,指向一个 Arena。
步骤 2:决定分配类型
- 1024B 属于
small; - 使用
PoolSubpage管理。
步骤 3:从 Subpage bitmap 中找可用槽位
- 每个 Subpage 会维护一个 位图 bitmap;
- 找到第一个可用 bit(0 表示可用);
- 标记为已用,返回该内存块。
步骤 4:记录引用计数
- 返回的是
PooledByteBuf; - 带有引用计数机制
refCnt; - 默认是
1,使用完必须调用.release()回收。
释放内存算法
1 | |
释放逻辑:
- 将引用计数
refCnt - 1; - 若为 0,则归还该槽位(重置 bitmap);
- 如果页全部空闲,可能将 chunk 回收。
chunk 复用机制(PoolChunkList)
Netty 设计了一组 PoolChunkList,表示 chunk 的使用率区间:
| ChunkList 名称 | 使用率区间 |
|---|---|
| qInit | 0–25% |
| q000 | 1–50% |
| q025 | 25–75% |
| q050 | 50–100% |
| q075, q100 | 75%+,完全使用 |
- 每次分配时优先从低使用率的 chunk 取;
- 回收后 chunk 会移动到新的列表中。
这样做的好处是 避免碎片化和提升重用率。
直接内存的申请实现(unsafe + malloc)
对于 DirectBuffer 的底层分配方式:
- 使用
PlatformDependent.allocateDirectNoCleaner(); - 内部使用
sun.misc.Unsafe.allocateMemory()或malloc(); - 避免 Java 的
Cleaner延迟释放带来的 OOM 风险。
内存泄露与检测机制
Netty 提供 ResourceLeakDetector:
1 | |
可在泄露未释放的 ByteBuf 时抛出日志警告,包括使用栈跟踪。
为什么 Netty 绕开 GC,自建内存管理?
JVM GC 不适合管理网络 IO 缓冲区
在高并发网络服务中,会频繁创建/释放短生命周期的 ByteBuffer 对象(如:每个连接、请求、消息都需要 buffer)。
但:
- Java 的 GC(尤其是 Full GC)可能延迟回收这些 buffer;
- 大量临时 buffer 会在老年代堆积,触发 Stop-The-World GC;
- 导致系统抖动、延迟跳升、吞吐下降(GC 暴击)💣。
堆外内存更适合 Zero-Copy / DMA
HeapByteBuffer在底层写入 socket 时,仍需拷贝到直接内核缓冲区;- 而
DirectByteBuffer则可直接用于write()/sendfile(); - Netty 使用堆外内存可以更好地配合 Linux 的 零拷贝(zero-copy)机制,显著减少性能损耗。
Netty 自建内存池做了什么?
| 能力 | 对应设计 |
|---|---|
| 内存分配策略 | Arena + Chunk + Page + Subpage |
| 内存回收机制 | 引用计数 + recycler 对象池 |
| 内存复用机制 | ThreadLocal 缓存 + PoolChunkList |
| 分配性能优化 | 位图分配 + page 大块申请 |
| 内存泄露检测 | ResourceLeakDetector |
Paxos
Paxos 是一个 CP 系统(Consistent and Partition-tolerant),根据 CAP 理论 的划分,它强调一致性,容忍分区故障,牺牲可用性。
Protobuf
由 Google 开发的高效、灵活、跨语言的序列化协议,常用于分布式系统中的通信数据格式(比如微服务、RPC、消息队列、配置文件等场景)。它是 JSON、XML 的更高性能替代品。
IDL(接口描述语言):用于定义数据结构
序列化工具:将结构转成紧凑的二进制格式,用于网络传输或存储
由 .proto 文件描述数据结构,通过编译器 protoc 生成代码,支持多种语言如 Java、C++、Python、Go、C# 等。
Protobuf 编码方式
编码是紧凑的二进制格式,体积远小于 JSON/XML;
使用 Varint 编码:整数按大小自适应压缩;
字段顺序不影响编码,但字段编号必须稳定;
字段以 <field_number + wire_type> 头 + 内容方式编码,便于跳过未知字段。
Protobuf 的版本兼容性
向后兼容(new → old):
- 新增字段:老代码忽略(跳过未知字段)
- 删除字段:只要字段编号不重复,可安全删除
向前兼容(old → new):
- 解码旧数据,新字段会使用默认值
- 不影响使用,但新特性会失效
破坏兼容性的操作
| 动作 | 是否兼容 | 原因 |
|---|---|---|
| ❌ 修改字段编号 | ❌ 否 | 编码/解码不匹配 |
| ❌ 修改字段类型 | ❌ 否 | 类型不一致导致数据解析错误 |
| ✅ 添加字段 | ✅ 是 | 可被新版本解析,旧版本忽略 |
| ✅ 弃用字段(不删除) | ✅ 是 | 使用 reserved 保留编号或字段名 |
优化 RPC 框架的思路
通信层优化
1. 使用高效的 IO 模型
- 使用 异步非阻塞 I/O(如 Netty、epoll/kqueue)
- 使用 连接复用(共享 TCP 长连接,避免三次握手频繁开销)
- 合理配置 线程模型(boss/worker/event loop)
2. 支持压缩 & 零拷贝
- 压缩请求/响应体(如 GZIP、LZ4、Snappy)
- 利用
sendfile/ NettyDirectByteBuf实现 zero-copy
3. 减少网络交互轮次
- 尽量合并请求(如批量发送、流水线/pipelining)
- 减少连接握手:Keep-Alive + 连接池管理
编解码层优化
1. 使用高性能序列化协议
- 替换 JSON/XML 为:Protobuf、Avro、Thrift、Kryo、MsgPack
- 序列化字段编号稳定、支持版本演进
2. 减少冗余字段 / 支持 schema
- 让协议“瘦身”,只传必要数据
- 如果能共享 schema,可以只传字段值,提升传输效率
3.优化内存管理
- 编解码使用 对象池(ObjectPool)
- buffer 重用(如 Netty 的 PooledByteBuf)
线程/调度优化
1. 分离业务线程与 IO 线程
- 避免业务阻塞影响 IO 接收;
- 使用线程池处理 handler/request,支持线程隔离。
2. Reactor + Callback 模式
- 提高并发模型伸缩性;
- 避免线程阻塞,适配异步非阻塞通信。
3. 请求限流 / 拒绝策略
- 每个服务/方法配置 QPS 上限,防止雪崩;
- 提供
FailFast、FailOver、FailSafe等调用策略。
容错与高可用机制(可用性是关键)
1. 服务注册与发现
- 支持注册中心(如 ZooKeeper、etcd、Consul);
- 支持自动健康检查、实例动态上下线。
2. 超时控制与重试机制
- 每个 RPC 方法配置超时时间;
- 智能重试(避免幂等操作带来的数据一致性风险);
- 超时后快速 failover,防止级联阻塞。
3. 熔断 + 限流 + 降级
- 借助 Hystrix、Sentinel 等组件;
- 防止服务间依赖传播故障;
- 降级策略兜底响应。
扩展性和服务治理
1. 支持多协议栈(可插拔)
- 抽象统一协议层,可支持 HTTP、gRPC、自定义 TCP 协议等;
- 使用 SPI 插件机制支持动态扩展。
2. 服务路由与动态配置
- 按标签、权重、版本、地域路由;
- 支持热更新配置中心(如 Nacos)控制参数。
3. 服务监控与追踪
- 埋点上报调用链(TraceId、SpanId);
- 集成 Zipkin、Skywalking、Prometheus;
- 支持慢调用统计、异常码汇总、QPS/RT 监控。
动态代理中的优化
为什么要优化动态代理?
动态代理本质上是通过在运行时生成代理类来插入额外逻辑(如日志、鉴权、序列化等),但它带来的性能开销主要来自:
- 反射调用开销
- 字节码生成/加载成本
- 频繁代理链导致堆栈复杂
- 可读性 & 可调试性下降
动态代理的优化思路大全
动态代理的优化本质是“绕开反射 + 缓存生成 + 降低开销”,在性能敏感场景下选用 ByteBuddy、LambdaFactory、代码生成等技术,是关键手段。
选择合适的代理实现方式
| 技术 | 性能表现 | 是否支持接口代理 | 是否支持类代理 |
|---|---|---|---|
| JDK Proxy | 较慢 | ✅ 是 | ❌ 否 |
| CGLIB | 快 | ✅ 是 | ✅ 是 |
| ByteBuddy | 最快/最灵活 | ✅ 是 | ✅ 是 |
| ASM | 原始字节码 | ✅ 是 | ✅ 是 |
- 如果你代理的是接口:可以先用 JDK Proxy;
- 如果你代理的是类(如 RPC 框架的调用器):建议用 CGLIB 或 ByteBuddy;
- 性能极致场景(如大规模代理类):可以用 ByteBuddy + 缓存机制。
避免反射调用,使用 MethodHandle / LambdaMetafactory
JDK Proxy 默认使用 Method.invoke(),效率较低,可优化为:
- MethodHandle(JDK 7+):更接近原生调用的性能;
- LambdaMetafactory(JDK 8+):生成类似
lambda的代理,性能接近手写代码!
示例:替换反射为 lambda 调用
1 | |
✅ 适用于高频调用的代理方法(如 RPC Stub)。
代理类生成做缓存
动态代理生成的类本质上是运行时的 Class 文件,每次生成都很耗资源。
优化策略:
- 对 相同的接口 + handler 逻辑 缓存代理类;
- 使用类似 Guava Cache / LRU Cache 来避免重复生成;
- ByteBuddy 有 built-in 缓存机制,利用
TypeCache。
减少代理链层级 / 精简 AOP 切面
在 AOP 或 Filter 链场景中,代理链太深会:
- 增加堆栈深度;
- 导致性能下降;
- 调试困难。
优化建议:
- 合并多个代理为一个逻辑代理;
- 使用统一入口(如 Spring 的 Advisor 合并优化);
- 动态判断是否需要进入代理(如条件判断 + fast path);
动态代理异步化(适用于RPC)
如果你在 RPC 框架中用代理做方法拦截,考虑加入:
- 异步化执行:Future/CompletableFuture
- 响应式模型(如返回
Mono<T>或RxJava) - 这样可以减少阻塞等待,提升整体并发能力
代码生成替代反射(提前静态生成 Stub)
在一些性能敏感场景(RPC、数据库 ORM),你可以直接:
- 提前生成代理类(代码生成);
- 或在编译期用注解处理器(APT)生成代码;
- 替换运行时动态生成逻辑。
比如:
1 | |
这会 显著优于运行时动态代理,且易于调试。
Bonus:不同框架的动态代理技术栈对比
| 框架 | 代理实现 | 是否缓存生成类 | 是否优化调用方式 |
|---|---|---|---|
| Spring AOP | JDK Proxy / CGLIB | ✅ 是 | ❌ 基本用反射 |
| Dubbo | Javassist / ASM | ✅ 是 | ✅ 支持 FastInvoke |
| Netty RPC | 通常是动态代码生成 | ✅ | ✅ 支持 lambda |
| gRPC | 纯代码生成 stub | ✅ | ✅ 高性能手写 |
Mysql
执行一条 select 语句,期间发生了什么?
- 连接器:建立连接,管理连接、校验用户身份;
- 查询缓存:查询语句如果命中查询缓存则直接返回,否则继续往下执行。MySQL 8.0 已删除该模块;
- 解析 SQL,通过解析器对 SQL 查询语句进行词法分析、语法分析,然后构建语法树,方便后续模块读取表名、字段、语句类型;
- 执行 SQL:执行 SQL 共有三个阶段:
- 预处理阶段:检查表或字段是否存在;将
select *中的*符号扩展为表上的所有列。 - 优化阶段:基于查询成本的考虑, 选择查询成本最小的执行计划;
- 执行阶段:根据执行计划执行 SQL 查询语句,从存储引擎读取记录,返回给客户端;
- 预处理阶段:检查表或字段是否存在;将
MySQL 的架构共分为两层:Server 层和存储引擎层
- Server 层负责建立连接、分析和执行 SQL。MySQL 大多数的核心功能模块都在这实现,主要包括连接器,查询缓存、解析器、预处理器、优化器、执行器等。另外,所有的内置函数(如日期、时间、数学和加密函数等)和所有跨存储引擎的功能(如存储过程、触发器、视图等。)都在 Server 层实现。
- 存储引擎层负责数据的存储和提取。支持 InnoDB、MyISAM、Memory 等多个存储引擎,不同的存储引擎共用一个 Server 层。现在最常用的存储引擎是 InnoDB,从 MySQL 5.5 版本开始, InnoDB 成为了 MySQL 的默认存储引擎。我们常说的索引数据结构,就是由存储引擎层实现的,不同的存储引擎支持的索引类型也不相同,比如 InnoDB 支持索引类型是 B+树 ,且是默认使用,也就是说在数据表中创建的主键索引和二级索引默认使用的是 B+ 树索引。
连接器
- 身份验证
- 与客户端进行 TCP 三次握手建立连接;
- 校验客户端的用户名和密码,如果用户名或密码不对,则会报错;
- 如果用户名和密码都对了,会读取该用户的权限,然后后面的权限逻辑判断都基于此时读取到的权限;
- 长连接占用内存:定期断开长连接。或客户端主动重置连接
解析 SQL
词法分析:MySQL 会根据你输入的字符串识别出关键字出来。
语法分析:根据词法分析的结果,语法解析器会根据语法规则,判断你输入的这个 SQL 语句是否满足 MySQL 语法,如果没问题就会构建出 SQL 语法树,这样方便后面模块获取 SQL 类型、表名、字段名、 where 条件等等。
执行 SQL
- prepare 阶段,也就是预处理阶段;
- optimize 阶段,也就是优化阶段;
- execute 阶段,也就是执行阶段;
预处理器
- 检查 SQL 查询语句中的表或者字段是否存在;
- 将
select *中的*符号,扩展为表上的所有列;
优化器
优化器主要负责将 SQL 查询语句的执行方案确定下来,比如在表里面有多个索引的时候,优化器会基于查询成本的考虑,来决定选择使用哪个索引。
执行器
- 主键索引查询
- 全表扫描
- 索引下推
主键索引查询
1 | |
这条查询语句的查询条件用到了主键索引,而且是等值查询,同时主键 id 是唯一,不会有 id 相同的记录,所以优化器决定选用访问类型为 const 进行查询,也就是使用主键索引查询一条记录,那么执行器与存储引擎的执行流程是这样的:
- 执行器第一次查询,会调用 read_first_record 函数指针指向的函数,因为优化器选择的访问类型为 const,这个函数指针被指向为 InnoDB 引擎索引查询的接口,把条件
id = 1交给存储引擎,让存储引擎定位符合条件的第一条记录。 - 存储引擎通过主键索引的 B+ 树结构定位到 id = 1的第一条记录,如果记录是不存在的,就会向执行器上报记录找不到的错误,然后查询结束。如果记录是存在的,就会将记录返回给执行器;
- 执行器从存储引擎读到记录后,接着判断记录是否符合查询条件,如果符合则发送给客户端,如果不符合则跳过该记录。
- 执行器查询的过程是一个 while 循环,所以还会再查一次,但是这次因为不是第一次查询了,所以会调用 read_record 函数指针指向的函数,因为优化器选择的访问类型为 const,这个函数指针被指向为一个永远返回 - 1 的函数,所以当调用该函数的时候,执行器就退出循环,也就是结束查询了。
全表扫描
举个全表扫描的例子:
1 | |
这条查询语句的查询条件没有用到索引,所以优化器决定选用访问类型为 ALL 进行查询,也就是全表扫描的方式查询,那么这时执行器与存储引擎的执行流程是这样的:
- 执行器第一次查询,会调用 read_first_record 函数指针指向的函数,因为优化器选择的访问类型为 all,这个函数指针被指向为 InnoDB 引擎全扫描的接口,让存储引擎读取表中的第一条记录;
- 执行器会判断读到的这条记录的 name 是不是 iphone,如果不是则跳过;如果是则将记录发给客户的(是的没错,Server 层每从存储引擎读到一条记录就会发送给客户端,之所以客户端显示的时候是直接显示所有记录的,是因为客户端是等查询语句查询完成后,才会显示出所有的记录)。
- 执行器查询的过程是一个 while 循环,所以还会再查一次,会调用 read_record 函数指针指向的函数,因为优化器选择的访问类型为 all,read_record 函数指针指向的还是 InnoDB 引擎全扫描的接口,所以接着向存储引擎层要求继续读刚才那条记录的下一条记录,存储引擎把下一条记录取出后就将其返回给执行器(Server层),执行器继续判断条件,不符合查询条件即跳过该记录,否则发送到客户端;
- 一直重复上述过程,直到存储引擎把表中的所有记录读完,然后向执行器(Server层) 返回了读取完毕的信息;
- 执行器收到存储引擎报告的查询完毕的信息,退出循环,停止查询。
索引下推
索引下推能够减少二级索引在查询时的回表操作,提高查询的效率,因为它将 Server 层部分负责的事情,交给存储引擎层去处理了。
举一个具体的例子,方便大家理解,这里一张用户表如下,我对 age 和 reward 字段建立了联合索引(age,reward):

现在有下面这条查询语句:
1 | |
联合索引当遇到范围查询 (>、<) 就会停止匹配,也就是 age 字段能用到联合索引,但是 reward 字段则无法利用到索引。
使用索引下推后,判断记录的 reward 是否等于 100000 的工作交给了存储引擎层,过程如下 :
- Server 层首先调用存储引擎的接口定位到满足查询条件的第一条二级索引记录,也就是定位到 age > 20 的第一条记录;
- 存储引擎定位到二级索引后,先不执行回表操作,而是先判断一下该索引中包含的列(reward列)的条件(reward 是否等于 100000)是否成立。如果条件不成立,则直接跳过该二级索引。如果成立,则执行回表操作,将完成记录返回给 Server 层。
- Server 层在判断其他的查询条件(本次查询没有其他条件)是否成立,如果成立则将其发送给客户端;否则跳过该记录,然后向存储引擎索要下一条记录。
- 如此往复,直到存储引擎把表中的所有记录读完。
可以看到,使用了索引下推后,虽然 reward 列无法使用到联合索引,但是因为它包含在联合索引(age,reward)里,所以直接在存储引擎过滤出满足 reward = 100000 的记录后,才去执行回表操作获取整个记录。相比于没有使用索引下推,节省了很多回表操作。
当你发现执行计划里的 Extr 部分显示了 “Using index condition”,说明使用了索引下推。
MySQL 一行记录是怎么存储的?
可以看到,共有三个文件,这三个文件分别代表着:
- db.opt,用来存储当前数据库的默认字符集和字符校验规则。
- t_order.frm ,t_order 的表结构会保存在这个文件。在 MySQL 中建立一张表都会生成一个.frm 文件,该文件是用来保存每个表的元数据信息的,主要包含表结构定义。
- t_order.ibd,t_order 的表数据会保存在这个文件。表数据既可以存在共享表空间文件(文件名:ibdata1)里,也可以存放在独占表空间文件(文件名:表名字.ibd)。这个行为是由参数 innodb_file_per_table 控制的,若设置了参数 innodb_file_per_table 为 1,则会将存储的数据、索引等信息单独存储在一个独占表空间,从 MySQL 5.6.6 版本开始,它的默认值就是 1 了,因此从这个版本之后, MySQL 中每一张表的数据都存放在一个独立的 .ibd 文件。
好了,现在我们知道了一张数据库表的数据是保存在「 表名字.ibd 」的文件里的,这个文件也称为独占表空间文件。
表空间文件的结构是怎么样的?
表空间由段(segment)、区(extent)、页(page)、行(row)组成,InnoDB存储引擎的逻辑存储结构大致如下图:

行(row)
数据库表中的记录都是按行(row)进行存放的,每行记录根据不同的行格式,有不同的存储结构。
页(page)
记录是按照行来存储的,但是数据库的读取并不以「行」为单位,否则一次读取(也就是一次 I/O 操作)只能处理一行数据,效率会非常低。
因此,InnoDB 的数据是按「页」为单位来读写的,也就是说,当需要读一条记录的时候,并不是将这个行记录从磁盘读出来,而是以页为单位,将其整体读入内存。
默认每个页的大小为 16KB,也就是最多能保证 16KB 的连续存储空间。
页是 InnoDB 存储引擎磁盘管理的最小单元,意味着数据库每次读写都是以 16KB 为单位的,一次最少从磁盘中读取 16K 的内容到内存中,一次最少把内存中的 16K 内容刷新到磁盘中。
页的类型有很多,常见的有数据页、undo 日志页、溢出页等等。数据表中的行记录是用「数据页」来管理的
区(extent)
B+ 树中每一层都是通过双向链表连接起来的,如果是以页为单位来分配存储空间,那么链表中相邻的两个页之间的物理位置并不是连续的,可能离得非常远,那么磁盘查询时就会有大量的随机I/O,随机 I/O 是非常慢的。
在表中数据量大的时候,为某个索引分配空间的时候就不再按照页为单位分配了,而是按照区(extent)为单位分配。每个区的大小为 1MB,对于 16KB 的页来说,连续的 64 个页会被划为一个区,这样就使得链表中相邻的页的物理位置也相邻,就能使用顺序 I/O 了。
段(segment)
表空间是由各个段(segment)组成的,段是由多个区(extent)组成的。段一般分为数据段、索引段和回滚段等。
- 索引段:存放 B + 树的非叶子节点的区的集合;
- 数据段:存放 B + 树的叶子节点的区的集合;
- 回滚段:存放的是回滚数据的区的集合,之前讲事务隔离的时候就介绍到了 MVCC 利用了回滚段实现了多版本查询数据。
InnoDB 行格式有哪些?
InnoDB 提供了 4 种行格式,分别是 Redundant、Compact、Dynamic和 Compressed 行格式。
- Redundant 是很古老的行格式了, MySQL 5.0 版本之前用的行格式,现在基本没人用了。
- 由于 Redundant 不是一种紧凑的行格式,所以 MySQL 5.0 之后引入了 Compact 行记录存储方式,Compact 是一种紧凑的行格式,设计的初衷就是为了让一个数据页中可以存放更多的行记录,从 MySQL 5.1 版本之后,行格式默认设置成 Compact。
- Dynamic 和 Compressed 两个都是紧凑的行格式,它们的行格式都和 Compact 差不多,因为都是基于 Compact 改进一点东西。从 MySQL5.7 版本之后,默认使用 Dynamic 行格式。
Dynamic 和 Compressed 这两个行格式跟 Compact 非常像。
COMPACT 行格式长什么样?

记录的额外信息包含 3 个部分:变长字段长度列表、NULL 值列表、记录头信息。
varchar(n) 和 char(n) 的区别是什么,相信大家都非常清楚,char 是定长的,varchar 是变长的,变长字段实际存储的数据的长度(大小)不固定的。
在存储数据的时候,也要把数据占用的大小存起来,存到「变长字段长度列表」里面,读取数据的时候才能根据这个「变长字段长度列表」去读取对应长度的数据。其他 TEXT、BLOB 等变长字段也是这么实现的。
「变长字段长度列表」中的信息之所以要逆序存放,是因为这样可以使得位置靠前的记录的真实数据和数据对应的字段长度信息可以同时在一个 CPU Cache Line 中,这样就可以提高 CPU Cache 的命中率。
同样的道理, NULL 值列表的信息也需要逆序存放。
记录的真实数据
- row_id
如果我们建表的时候指定了主键或者唯一约束列,那么就没有 row_id 隐藏字段了。如果既没有指定主键,又没有唯一约束,那么 InnoDB 就会为记录添加 row_id 隐藏字段。row_id不是必需的,占用 6 个字节。
- trx_id
事务id,表示这个数据是由哪个事务生成的。 trx_id是必需的,占用 6 个字节。
- roll_pointer
这条记录上一个版本的指针。roll_pointer 是必需的,占用 7 个字节。
行溢出后,MySQL 是怎么处理的?
MySQL 中磁盘和内存交互的基本单位是页,一个页的大小一般是 16KB,也就是 16384字节,而一个 varchar(n) 类型的列最多可以存储 65532字节,一些大对象如 TEXT、BLOB 可能存储更多的数据,这时一个页可能就存不了一条记录。这个时候就会发生行溢出,多的数据就会存到另外的「溢出页」中。
如果一个数据页存不了一条记录,InnoDB 存储引擎会自动将溢出的数据存放到「溢出页」中。在一般情况下,InnoDB 的数据都是存放在 「数据页」中。但是当发生行溢出时,溢出的数据会存放到「溢出页」中。
当发生行溢出时,在记录的真实数据处只会保存该列的一部分数据,而把剩余的数据放在「溢出页」中,然后真实数据处用 20 字节存储指向溢出页的地址,从而可以找到剩余数据所在的页。大致如下图所示。

索引
分类
- 按「数据结构」分类:B+tree索引、Hash索引(innodb 不支持手动创建)、Full-text索引。
- 按「物理存储」分类:聚簇索引(主键索引)、二级索引(辅助索引)。
- 按「字段特性」分类:主键索引、唯一索引、普通索引、前缀索引(char、 varchar、binary、varbinary)。
- 按「字段个数」分类:单列索引、联合索引。
在创建表时,InnoDB 存储引擎会根据不同的场景选择不同的列作为索引:
- 如果有主键,默认会使用主键作为聚簇索引的索引键(key);
- 如果没有主键,就选择第一个不包含 NULL 值的唯一列作为聚簇索引的索引键(key);
- 在上面两个都没有的情况下,InnoDB 将自动生成一个隐式自增 id 列作为聚簇索引的索引键(key);
其它索引都属于辅助索引(Secondary Index),也被称为二级索引或非聚簇索引。创建的主键索引和二级索引默认使用的是 B+Tree 索引。
B+Tree 存储千万级的数据只需要 3-4 层高度就可以满足,这意味着从千万级的表查询目标数据最多需要 3-4 次磁盘 I/O,所以B+Tree 相比于 B 树和二叉树来说,最大的优势在于查询效率很高,因为即使在数据量很大的情况,查询一个数据的磁盘 I/O 依然维持在 3-4次。
主键索引和二级索引的叶子节点不同:
- 主键索引的 B+Tree 的叶子节点存放的是实际数据,所有完整的用户记录都存放在主键索引的 B+Tree 的叶子节点里;
- 二级索引的 B+Tree 的叶子节点存放的是主键值,而不是实际数据。
回表
回表:先检索二级索引,找到叶子节点,获取主键,然后在主键索引中查询到叶子节点获取整行数据,查两个B+ Tree。
覆盖索引:在二级索引的 B+Tree 就能查询到结果的过程。
对比其他结构
B+Tree vs B Tree
B+Tree 只在叶子节点存储数据,而 B 树 的非叶子节点也要存储数据,所以 B+Tree 的单个节点的数据量更小,在相同的磁盘 I/O 次数下,就能查询更多的节点。
另外,B+Tree 叶子节点采用的是双链表连接,适合 MySQL 中常见的基于范围的顺序查找,而 B 树无法做到这一点。
B+Tree vs 二叉树
对于有 N 个叶子节点的 B+Tree,其搜索复杂度为O(logdN),其中 d 表示节点允许的最大子节点个数为 d 个。
在实际的应用当中, d 值是大于100的,这样就保证了,即使数据达到千万级别时,B+Tree 的高度依然维持在 3~4 层左右,也就是说一次数据查询操作只需要做 3~4 次的磁盘 I/O 操作就能查询到目标数据。
而二叉树的每个父节点的儿子节点个数只能是 2 个,意味着其搜索复杂度为 O(logN),这已经比 B+Tree 高出不少,因此二叉树检索到目标数据所经历的磁盘 I/O 次数要更多。
B+Tree vs Hash
Hash 在做等值查询的时候效率贼快,搜索复杂度为 O(1)。
但是 Hash 表不适合做范围查询,它更适合做等值的查询,这也是 B+Tree 索引要比 Hash 表索引有着更广泛的适用场景的原因。
联合索引,最左匹配
使用联合索引时,存在最左匹配原则,也就是按照最左优先的方式进行索引的匹配。在使用联合索引进行查询的时候,如果不遵循「最左匹配原则」,联合索引会失效。
比如,如果创建了一个 (a, b, c) 联合索引,如果查询条件是以下这几种,就可以匹配上联合索引:
- where a=1;
- where a=1 and b=2 and c=3;
- where a=1 and b=2;
因为有查询优化器,所以 a 字段在 where 子句的顺序并不重要。
但是,如果查询条件是以下这几种,因为不符合最左匹配原则,所以就无法匹配上联合索引,联合索引就会失效:
- where b=2;
- where c=3;
- where b=2 and c=3;
上面这些查询条件之所以会失效,是因为(a, b, c) 联合索引,是先按 a 排序,在 a 相同的情况再按 b 排序,在 b 相同的情况再按 c 排序。所以,b 和 c 是全局无序,局部相对有序的,这样在没有遵循最左匹配原则的情况下,是无法利用到索引的。
并不是查询过程使用了联合索引查询,就代表联合索引中的所有字段都用到了联合索引进行索引查询。有可能只有部分字段用了联合索引,比如下面的 Q1。
也就是范围查询的字段可以用到联合索引,但是在范围查询字段的后面的字段无法用到联合索引。
Q1:
select * from t_table where a > 1 and b = 2,联合索引(a, b)哪一个字段用到了联合索引的 B+Tree?
这条查询语句只有 a 字段用到了联合索引进行索引查询,而 b 字段并没有使用到联合索引。
Q2:
select * from t_table where a >= 1 and b = 2,联合索引(a, b)哪一个字段用到了联合索引的 B+Tree?
虽然在符合 a>= 1 条件的二级索引记录的范围里,b 字段的值是「无序」的,但是对于符合 a = 1 的二级索引记录的范围里,b 字段的值是「有序」的(因为对于联合索引,是先按照 a 字段的值排序,然后在 a 字段的值相同的情况下,再按照 b 字段的值进行排序)。
当二级索引记录的 a 字段值为 1 时,可以通过 b = 2 条件减少需要扫描的二级索引记录范围。
Q2 这条查询语句 a 和 b 字段都用到了联合索引进行索引查询。
Q3:
SELECT * FROM t_table WHERE a BETWEEN 2 AND 8 AND b = 2,联合索引(a, b)哪一个字段用到了联合索引的 B+Tree?
Q3 查询条件中 a BETWEEN 2 AND 8 的意思在 MySQL 中是 >= 2 && <= 8。类似于 Q2,能够用到联合索引进行索引查询。
Q4:
SELECT * FROM t_user WHERE name like 'j%' and age = 22,联合索引(name, age)哪一个字段用到了联合索引的 B+Tree?
虽然在符合前缀为 ‘j’ 的 name 字段的二级索引记录的范围里,age 字段的值是「无序」的,但是对于符合 name = j 的二级索引记录的范围里,age字段的值是「有序」的(因为对于联合索引,是先按照 name 字段的值排序,然后在 name 字段的值相同的情况下,再按照 age 字段的值进行排序)。
所以,Q4 这条查询语句 a 和 b 字段都用到了联合索引进行索引查询。
联合索引的最左匹配原则,在遇到范围查询(如 >、<)的时候,就会停止匹配,也就是范围查询的字段可以用到联合索引,但是在范围查询字段的后面的字段无法用到联合索引。注意,对于 >=、<=、BETWEEN、like 前缀匹配的范围查询,并不会停止匹配
索引下推
联合索引(a, b),在执行 select * from table where a > 1 and b = 2 语句的时候,只有 a 字段能用到索引,那在联合索引的 B+Tree 找到第一个满足条件的主键值(ID 为 2)后,还需要判断其他条件是否满足(看 b 是否等于 2),那是在联合索引里判断?还是回主键索引去判断呢?
MySQL 5.6 引入的索引下推优化(index condition pushdown), 可以在联合索引遍历过程中,对联合索引中包含的字段先做判断,直接过滤掉不满足条件的记录,减少回表次数。
当你的查询语句的执行计划里,出现了 Extra 为 Using index condition,那么说明使用了索引下推的优化。
索引区分度
建立联合索引时的字段顺序,对索引效率也有很大影响。越靠前的字段被用于索引过滤的概率越高,实际开发工作中建立联合索引时,要把区分度大的字段排在前面,这样区分度大的字段越有可能被更多的 SQL 使用到。

性别的区分度就很小,不适合建立索引或不适合排在联合索引列的靠前的位置,而 UUID 这类字段就比较适合做索引或排在联合索引列的靠前的位置。
联合索引进行排序
1 | |
更好的方式给 status 和 create_time 列建立一个联合索引,因为这样可以避免 MySQL 数据库发生文件排序。
什么时候不需要索引
索引的缺点:
- 需要占用物理空间,数量越大,占用空间越大;
- 创建索引和维护索引要耗费时间,这种时间随着数据量的增加而增大;
- 会降低表的增删改的效率,因为每次增删改索引,B+ 树为了维护索引有序性,都需要进行动态维护。
什么时候适用索引?
- 字段有唯一性限制的,比如商品编码;
- 经常用于
WHERE查询条件的字段,这样能够提高整个表的查询速度,如果查询条件不是一个字段,可以建立联合索引。 - 经常用于
GROUP BY和ORDER BY的字段,这样在查询的时候就不需要再去做一次排序了,因为我们都已经知道了建立索引之后在 B+Tree 中的记录都是排序好的。
什么时候不需要创建索引?
WHERE条件,GROUP BY,ORDER BY里用不到的字段,索引的价值是快速定位,如果起不到定位的字段通常是不需要创建索引的,因为索引是会占用物理空间的。- 字段中存在大量重复数据,不需要创建索引,比如性别字段,只有男女,如果数据库表中,男女的记录分布均匀,那么无论搜索哪个值都可能得到一半的数据。在这些情况下,还不如不要索引,因为 MySQL 还有一个查询优化器,查询优化器发现某个值出现在表的数据行中的百分比很高的时候,它一般会忽略索引,进行全表扫描。
- 表数据太少的时候,不需要创建索引;
- 经常更新的字段不用创建索引,比如不要对电商项目的用户余额建立索引,因为索引字段频繁修改,由于要维护 B+Tree的有序性,那么就需要频繁的重建索引,这个过程是会影响数据库性能的。
有什么优化索引的方法?
- 前缀索引优化;
- 覆盖索引优化;
- 主键索引最好是自增的;
- 防止索引失效;
前缀索引优化;
使用前缀索引是为了减小索引字段大小,可以增加一个索引页中存储的索引值,有效提高索引的查询速度。
覆盖索引优化;
建立联合索引防止回表
主键索引最好是自增的;
使用自增主键,使得插入一条新记录,都是追加操作,不用移动数据。
非自增主键可能导致页分裂,造成大量内存碎片,索引结构不紧凑。
主键字段长度越小,意味着二级索引的叶子节点越小(二级索引的叶子节点存放的数据是主键值),这样二级索引占用的空间也就越小。
防止索引失效;
- 当我们使用左或者左右模糊匹配的时候,也就是
like %xx或者like %xx%这两种方式都会造成索引失效; - 当我们在查询条件中对索引列做了计算、函数、类型转换操作,这些情况下都会造成索引失效;
- 联合索引要能正确使用需要遵循最左匹配原则,也就是按照最左优先的方式进行索引的匹配,否则就会导致索引失效。
- 在 WHERE 子句中,如果在 OR 前的条件列是索引列,而在 OR 后的条件列不是索引列,那么索引会失效。
索引最好设置为 NOT NULL
type 字段就是描述了找到所需数据时使用的扫描方式是什么,常见扫描类型的执行效率从低到高的顺序为:
- All(全表扫描);
- index(全索引扫描);
- range(索引范围扫描);
- ref(非唯一索引扫描);
- eq_ref(唯一索引扫描);
- const(结果只有一条的主键或唯一索引扫描)。
除了关注 type,我们也要关注 extra 显示的结果。
这里说几个重要的参考指标:
- Using filesort :当查询语句中包含 group by 操作,而且无法利用索引完成排序操作的时候, 这时不得不选择相应的排序算法进行,甚至可能会通过文件排序,效率是很低的,所以要避免这种问题的出现。
- Using temporary:使了用临时表保存中间结果,MySQL 在对查询结果排序时使用临时表,常见于排序 order by 和分组查询 group by。效率低,要避免这种问题的出现。
- Using index:所需数据只需在索引即可全部获得,不须要再到表中取数据,也就是使用了覆盖索引,避免了回表操作,效率不错。
索引失效的情况
- 当我们使用左或者左右模糊匹配的时候,也就是
like %xx或者like %xx%这两种方式都会造成索引失效; - 当我们在查询条件中对索引列使用函数,就会导致索引失效。
- 当我们在查询条件中对索引列进行表达式计算,也是无法走索引的。
- MySQL 在遇到字符串和数字比较的时候,会自动把字符串转为数字,然后再进行比较。如果字符串是索引列,而条件语句中的输入参数是数字的话,那么索引列会发生隐式类型转换,由于隐式类型转换是通过 CAST 函数实现的,等同于对索引列使用了函数,所以就会导致索引失效。
- 联合索引要能正确使用需要遵循最左匹配原则,也就是按照最左优先的方式进行索引的匹配,否则就会导致索引失效。
- 在 WHERE 子句中,如果在 OR 前的条件列是索引列,而在 OR 后的条件列不是索引列,那么索引会失效。
事务
事务特性
- 原子性(Atomicity):一个事务中的所有操作,要么全部完成,要么全部不完成,不会结束在中间某个环节,而且事务在执行过程中发生错误,会被回滚到事务开始前的状态,就像这个事务从来没有执行过一样,就好比买一件商品,购买成功时,则给商家付了钱,商品到手;购买失败时,则商品在商家手中,消费者的钱也没花出去。
- 一致性(Consistency):是指事务操作前和操作后,数据满足完整性约束,数据库保持一致性状态。比如,用户 A 和用户 B 在银行分别有 800 元和 600 元,总共 1400 元,用户 A 给用户 B 转账 200 元,分为两个步骤,从 A 的账户扣除 200 元和对 B 的账户增加 200 元。一致性就是要求上述步骤操作后,最后的结果是用户 A 还有 600 元,用户 B 有 800 元,总共 1400 元,而不会出现用户 A 扣除了 200 元,但用户 B 未增加的情况(该情况,用户 A 和 B 均为 600 元,总共 1200 元)。
- 隔离性(Isolation):数据库允许多个并发事务同时对其数据进行读写和修改的能力,隔离性可以防止多个事务并发执行时由于交叉执行而导致数据的不一致,因为多个事务同时使用相同的数据时,不会相互干扰,每个事务都有一个完整的数据空间,对其他并发事务是隔离的。也就是说,消费者购买商品这个事务,是不影响其他消费者购买的。
- 持久性(Durability):事务处理结束后,对数据的修改就是永久的,即便系统故障也不会丢失。
如何保证事务的 ACID
- 持久性是通过 redo log (重做日志)来保证的;
- 原子性是通过 undo log(回滚日志) 来保证的;
- 隔离性是通过 MVCC(多版本并发控制) 或锁机制来保证的;
- 一致性则是通过持久性+原子性+隔离性来保证;
并发事务的问题
- 脏读:读到其他事务未提交的数据;
- 不可重复读:前后读取的数据不一致;
- 幻读:前后读取的记录数量不一致。
事务隔离级别
- 读未提交(*read uncommitted*),指一个事务还没提交时,它做的变更就能被其他事务看到;
- 读提交(*read committed*),指一个事务提交之后,它做的变更才能被其他事务看到;
- 可重复读(*repeatable read*),指一个事务执行过程中看到的数据,一直跟这个事务启动时看到的数据是一致的,MySQL InnoDB 引擎的默认隔离级别;
- 串行化(*serializable* );会对记录加上读写锁,在多个事务对这条记录进行读写操作时,如果发生了读写冲突的时候,后访问的事务必须等前一个事务执行完成,才能继续执行;
MySQL InnoDB 引擎的默认隔离级别虽然是「可重复读」,但是它很大程度上避免幻读现象(并不是完全解决了,详见这篇文章),解决的方案有两种:
- 针对快照读(普通 select 语句),是通过 MVCC 方式解决了幻读,因为可重复读隔离级别下,事务执行过程中看到的数据,一直跟这个事务启动时看到的数据是一致的,即使中途有其他事务插入了一条数据,是查询不出来这条数据的,所以就很好了避免幻读问题。
- 针对当前读(select … for update 等语句),是通过 next-key lock(记录锁+间隙锁)方式解决了幻读,因为当执行 select … for update 语句的时候,会加上 next-key lock,如果有其他事务在 next-key lock 锁范围内插入了一条记录,那么这个插入语句就会被阻塞,无法成功插入,所以就很好了避免幻读问题。
隔离级别的实现
- 对于「读未提交」隔离级别的事务来说,因为可以读到未提交事务修改的数据,所以直接读取最新的数据就好了;
- 对于「串行化」隔离级别的事务来说,通过加读写锁的方式来避免并行访问;
- 对于「读提交」和「可重复读」隔离级别的事务来说,它们是通过 Read View \来实现的,它们的区别在于创建 Read View 的时机不同,大家可以把 Read View 理解成一个数据快照,就像相机拍照那样,定格某一时刻的风景。*「读提交」隔离级别是在「每个语句执行前」都会重新生成一个 Read View,而「可重复读」隔离级别是「启动事务时」生成一个 Read View,然后整个事务期间都在用这个 Read View*。
开启事务的两种方式
在 MySQL 有两种开启事务的命令,分别是:
- 第一种:begin/start transaction 命令;
- 第二种:start transaction with consistent snapshot 命令;
这两种开启事务的命令,事务的启动时机是不同的:
- 执行了 begin/start transaction 命令后,并不代表事务启动了。只有在执行这个命令后,执行了第一条 select 语句,才是事务真正启动的时机;
- 执行了 start transaction with consistent snapshot 命令,就会马上启动事务。
Read View 在 MVCC 中如何工作?
Read View 的四个字段
- m_ids :指的是在创建 Read View 时,当前数据库中「活跃事务」的事务 id 列表,注意是一个列表,“活跃事务”指的就是,启动了但还没提交的事务。
- min_trx_id :指的是在创建 Read View 时,当前数据库中「活跃事务」中事务 id 最小的事务,也就是 m_ids 的最小值。
- max_trx_id :这个并不是 m_ids 的最大值,而是创建 Read View 时当前数据库中应该给下一个事务的 id 值,也就是全局事务中最大的事务 id 值 + 1;
- creator_trx_id :指的是创建该 Read View 的事务的事务 id。
聚簇索引记录中的两个隐藏列
- trx_id,当一个事务对某条聚簇索引记录进行改动时,就会把该事务的事务 id 记录在 trx_id 隐藏列里;
- roll_pointer,每次对某条聚簇索引记录进行改动时,都会把旧版本的记录写入到 undo 日志中,然后这个隐藏列是个指针,指向每一个旧版本记录,于是就可以通过它找到修改前的记录。
创建 read view 之后,可以将记录中的 trx_id 划分为 3 种情况:

如果记录 trx_id < min_trx_id,那么该记录可见。(记录已提交)
如果记录 trx_id > max_trx_id,那么该记录不可见。(记录在当前事务之后)
如果记录 min_trx_id <= trx_id <= max_trx_id:
- 如果 trx_id 在 m_ids 列表中,不可见。(该记录活跃中)
- 如果 trx_id 不在 m_ids 列表中,可见。(该记录已提交)
这种通过「版本链」来控制并发事务访问同一个记录时的行为就叫 MVCC(多版本并发控制)。
MySQL 可重复读隔离级别,完全解决幻读了吗?
- 针对快照读(普通 select 语句),是通过 MVCC 方式解决了幻读,因为可重复读隔离级别下,事务执行过程中看到的数据,一直跟这个事务启动时看到的数据是一致的,即使中途有其他事务插入了一条数据,是查询不出来这条数据的,所以就很好了避免幻读问题。
- 针对当前读(select … for update 、update、delete 等除了普通 select 之外的语句),是通过 next-key lock(记录锁+间隙锁)方式解决了幻读,因为当执行 select … for update 语句的时候,会加上 next-key lock,如果有其他事务在 next-key lock 锁范围内插入了一条记录,那么这个插入语句就会被阻塞,无法成功插入,所以就很好了避免幻读问题。
MySQL Innodb 中的 MVCC 并不能完全避免幻读现象。下面是一个例子:
A 事务先 select 没有,然后 B 事务 insert 有了,之后 A 事务 update 新插入的成功,A 事务 select 也有了。
因为 update 操作使得 trx_id 变成了 A 的 trx_id 之后就能查询到了。
第二个例子
除了上面这一种场景会发生幻读现象之外,还有下面这个场景也会发生幻读现象。
- T1 时刻:事务 A 先执行「快照读语句」:select * from t_test where id > 100 得到了 3 条记录。
- T2 时刻:事务 B 往插入一个 id= 200 的记录并提交;
- T3 时刻:事务 A 再执行「当前读语句」 select * from t_test where id > 100 for update 就会得到 4 条记录,此时也发生了幻读现象。
要避免这类特殊场景下发生幻读的现象的话,就是尽量在开启事务之后,马上执行 select … for update 这类当前读的语句,因为它会对记录加 next-key lock,从而避免其他事务插入一条新记录。
锁
全局锁
1 | |
执行后,整个数据库就处于只读状态了,这时其他线程执行以下操作,都会被阻塞:
- 对数据的增删改操作,比如 insert、delete、update等语句;
- 对表结构的更改操作,比如 alter table、drop table 等语句。
如果要释放全局锁,则要执行这条命令:
1 | |
当然,当会话断开了,全局锁会被自动释放。
全局锁主要应用于做全库逻辑备份,这样在备份数据库期间,不会因为数据或表结构的更新,而出现备份文件的数据与预期的不一样。
如果数据库的引擎支持的事务支持可重复读的隔离级别,那么在备份数据库之前先开启事务,会先创建 Read View,然后整个事务执行期间都在用这个 Read View,而且由于 MVCC 的支持,备份期间业务依然可以对数据进行更新操作。
备份数据库的工具是 mysqldump,在使用 mysqldump 时加上 –single-transaction 参数的时候,就会在备份数据库之前先开启事务。这种方法只适用于支持「可重复读隔离级别的事务」的存储引擎。
InnoDB 存储引擎默认的事务隔离级别正是可重复读,因此可以采用这种方式来备份数据库。
但是,对于 MyISAM 这种不支持事务的引擎,在备份数据库时就要使用全局锁的方法。
表级锁
- 表锁;
- 元数据锁(MDL);
- 意向锁;
- AUTO-INC 锁;
表锁
表锁本线程(会话)可以读本表的数据,但是不能写本表的数据,同时本线程不能访问其他表,其他线程可以对本表进行读操作,但是也不能对本表进行写操作,这时候写操作会发生阻塞。
元数据锁(MDL)
我们不需要显示的使用 MDL,因为当我们对数据库表进行操作时,会自动给这个表加上 MDL:
- 对一张表进行 CRUD 操作时,加的是 MDL 读锁;
- 对一张表做结构变更操作的时候,加的是 MDL 写锁;
MDL 是在事务提交后才会释放,这意味着事务执行期间,MDL 是一直持有的。
申请 MDL 锁的操作会形成一个队列,队列中写锁获取优先级高于读锁,一旦出现 MDL 写锁等待,会阻塞后续该表的所有 CRUD 操作。
所以为了能安全的对表结构进行变更,在对表结构变更前,先要看看数据库中的长事务,是否有事务已经对表加上了 MDL 读锁,如果可以考虑 kill 掉这个长事务,然后再做表结构的变更。
意向锁
意向锁的目的是为了快速判断表里是否有记录被加锁
- 在使用 InnoDB 引擎的表里对某些记录加上「共享锁」之前,需要先在表级别加上一个「意向共享锁」;
- 在使用 InnoDB 引擎的表里对某些纪录加上「独占锁」之前,需要先在表级别加上一个「意向独占锁」;
也就是,当执行插入、更新、删除操作,需要先对表加上「意向独占锁」,然后对该记录加独占锁。
而普通的 select 是不会加行级锁的,普通的 select 语句是利用 MVCC 实现一致性读,是无锁的。
不过,select 也是可以对记录加共享锁和独占锁的,具体方式如下:
1 | |
意向共享锁和意向独占锁是表级锁,不会和行级的共享锁和独占锁发生冲突,而且意向锁之间也不会发生冲突,只会和共享表锁(*lock tables … read*)和独占表锁(*lock tables … write*)发生冲突。
表锁和行锁是满足读读共享、读写互斥、写写互斥的。
如果没有「意向锁」,那么加「独占表锁」时,就需要遍历表里所有记录,查看是否有记录存在独占锁,这样效率会很慢。
那么有了「意向锁」,由于在对记录加独占锁前,先会加上表级别的意向独占锁,那么在加「独占表锁」时,直接查该表是否有意向独占锁,如果有就意味着表里已经有记录被加了独占锁,这样就不用去遍历表里的记录。
AUTO-INC 锁
用于实现自增主键,AUTO-INC 锁是特殊的表锁机制,锁不是再一个事务提交后才释放,而是再执行完插入语句后就会立即释放。
在插入数据时,会加一个表级别的 AUTO-INC 锁,然后为被 AUTO_INCREMENT 修饰的字段赋值递增的值,等插入语句执行完成后,才会把 AUTO-INC 锁释放掉。
但是, AUTO-INC 锁再对大量数据进行插入的时候,会影响插入性能,因为另一个事务中的插入会被阻塞。
因此, 在 MySQL 5.1.22 版本开始,InnoDB 存储引擎提供了一种轻量级的锁来实现自增。
一样也是在插入数据的时候,会为被 AUTO_INCREMENT 修饰的字段加上轻量级锁,然后给该字段赋值一个自增的值,就把这个轻量级锁释放了,而不需要等待整个插入语句执行完后才释放锁。
行级锁
- Record Lock,记录锁,也就是仅仅把一条记录锁上;
- Gap Lock,间隙锁,锁定一个范围,但是不包含记录本身;
- Next-Key Lock:Record Lock + Gap Lock 的组合,锁定一个范围,并且锁定记录本身。
- 插入意向锁
InnoDB 引擎是支持行级锁的,而 MyISAM 引擎并不支持行级锁。
共享锁(S锁)满足读读共享,读写互斥。独占锁(X锁)满足写写互斥、读写互斥。
Record Lock
Record Lock 称为记录锁,锁住的是一条记录。而且记录锁是有 S 锁和 X 锁之分的:
- S + S 可以
- 其他都不可以(S + X、X + X、X + S)
Gap Lock
只存在于可重复读隔离级别,目的是为了解决可重复读隔离级别下幻读的现象。
间隙锁虽然存在 X 型间隙锁和 S 型间隙锁,但是并没有什么区别,间隙锁之间是兼容的,即两个事务可以同时持有包含共同间隙范围的间隙锁,并不存在互斥关系,因为间隙锁的目的是防止插入幻影记录而提出的。
Next-Key Lock
Next-Key Lock 称为临键锁,是 Record Lock + Gap Lock 的组合,锁定一个范围,并且锁定记录本身。
假设,表中有一个范围 id 为(3,5] 的 next-key lock,那么其他事务即不能插入 id = 4 记录,也不能修改 id = 5 这条记录。

next-key lock 是包含间隙锁+记录锁的,如果一个事务获取了 X 型的 next-key lock,那么另外一个事务在获取相同范围的 X 型的 next-key lock 时,是会被阻塞的。
插入意向锁
一个事务在插入一条记录的时候,需要判断插入位置是否已被其他事务加了间隙锁(next-key lock 也包含间隙锁)。
插入意向锁名字虽然有意向锁,但是它并不是意向锁,它是一种特殊的间隙锁,属于行级别锁。
如果说间隙锁锁住的是一个区间,那么「插入意向锁」锁住的就是一个点。因而从这个角度来说,插入意向锁确实是一种特殊的间隙锁。
插入意向锁与间隙锁的另一个非常重要的差别是:尽管「插入意向锁」也属于间隙锁,但两个事务却不能在同一时间内,一个拥有间隙锁,另一个拥有该间隙区间内的插入意向锁(当然,插入意向锁如果不在间隙锁区间内则是可以的)。
唯一索引等值查询
当我们用唯一索引进行等值查询的时候,查询的记录存不存在,加锁的规则也会不同:
- 当查询的记录是「存在」的,在索引树上定位到这一条记录后,将该记录的索引中的 next-key lock 会退化成「记录锁」。
- 当查询的记录是「不存在」的,在索引树找到第一条大于该查询记录的记录后,将该记录的索引中的 next-key lock 会退化成「间隙锁」。
唯一索引范围查询
范围查询和等值查询的加锁规则是不同的。
当唯一索引进行范围查询时,会对每一个扫描到的索引加 next-key 锁,然后如果遇到下面这些情况,会退化成记录锁或者间隙锁:
- 情况一:针对「大于等于」的范围查询,因为存在等值查询的条件,那么如果等值查询的记录是存在于表中,那么该记录的索引中的 next-key 锁会退化成记录锁。
- 情况二:针对「小于或者小于等于」的范围查询,要看条件值的记录是否存在于表中:
- 当条件值的记录不在表中,那么不管是「小于」还是「小于等于」条件的范围查询,扫描到终止范围查询的记录时,该记录的索引的 next-key 锁会退化成间隙锁,其他扫描到的记录,都是在这些记录的索引上加 next-key 锁。
- 当条件值的记录在表中,如果是「小于」条件的范围查询,扫描到终止范围查询的记录时,该记录的索引的 next-key 锁会退化成间隙锁,其他扫描到的记录,都是在这些记录的索引上加 next-key 锁;如果「小于等于」条件的范围查询,扫描到终止范围查询的记录时,该记录的索引 next-key 锁不会退化成间隙锁。其他扫描到的记录,都是在这些记录的索引上加 next-key 锁。
非唯一索引等值查询
- 当查询的记录「存在」时,由于不是唯一索引,所以肯定存在索引值相同的记录,于是非唯一索引等值查询的过程是一个扫描的过程,直到扫描到第一个不符合条件的二级索引记录就停止扫描,然后在扫描的过程中,对扫描到的二级索引记录加的是 next-key 锁,而对于第一个不符合条件的二级索引记录,该二级索引的 next-key 锁会退化成间隙锁。同时,在符合查询条件的记录的主键索引上加记录锁。
- 当查询的记录「不存在」时,扫描到第一条不符合条件的二级索引记录,该二级索引的 next-key 锁会退化成间隙锁。因为不存在满足查询条件的记录,所以不会对主键索引加锁。
非唯一索引范围查询
非唯一索引进行范围查询时,对二级索引记录加锁都是加 next-key 锁。
没有加索引的查询
如果锁定读查询语句,没有使用索引列作为查询条件,或者查询语句没有走索引查询,导致扫描是全表扫描。那么,每一条记录的索引上都会加 next-key 锁,这样就相当于锁住的全表,这时如果其他事务对该表进行增、删、改操作的时候,都会被阻塞。
死锁
死锁的四个必要条件:互斥、占有且等待、不可强占用、循环等待。只要系统发生死锁,这些条件必然成立,但是只要破坏任意一个条件就死锁就不会成立。
- 设置事务等待锁的超时时间。
- 开启主动死锁检测。
日志
- undo log(回滚日志):是 Innodb 存储引擎层生成的日志,实现了事务中的原子性,主要用于事务回滚和 MVCC。
- redo log(重做日志):是 Innodb 存储引擎层生成的日志,实现了事务中的持久性,主要用于掉电等故障恢复;
- binlog (归档日志):是 Server 层生成的日志,主要用于数据备份和主从复制;
Undo log

- 事务回滚
- 通过 ReadView + undo log 实现 MVCC(多版本并发控制)。
redo log
- 实现事务的持久性,让 MySQL 有 crash-safe 的能力,能够保证 MySQL 在任何时间段突然崩溃,重启后之前已提交的记录都不会丢失;
- 将写操作从「随机写」变成了「顺序写」,提升 MySQL 写入磁盘的性能。
WAL (Write-Ahead Logging)技术指的是, MySQL 的写操作并不是立刻写到磁盘上,而是先写日志,然后在合适的时间再写到磁盘上。
redo log 是物理日志,记录了某个数据页做了什么修改,比如对 XXX 表空间中的 YYY 数据页 ZZZ 偏移量的地方做了AAA 更新,每当执行一个事务就会产生这样的一条或者多条物理日志。
在事务提交时,只要先将 redo log 持久化到磁盘即可,可以不需要等到将缓存在 Buffer Pool 里的脏页数据持久化到磁盘。
当系统崩溃时,虽然脏页数据没有持久化,但是 redo log 已经持久化,接着 MySQL 重启后,可以根据 redo log 的内容,将所有数据恢复到最新的状态。
- redo log 记录了此次事务「修改后」的数据状态,记录的是更新之后的值,主要用于事务崩溃恢复,保证事务的持久性。
- undo log 记录了此次事务「修改前」的数据状态,记录的是更新之前的值,主要用于事务回滚,保证事务的原子性。
写入 redo log 的方式使用了追加操作, 所以磁盘操作是顺序写,而写入数据需要先找到写入位置,然后才写到磁盘,所以磁盘操作是随机写。
磁盘的「顺序写 」比「随机写」 高效的多,因此 redo log 写入磁盘的开销更小。
redo log 什么时候刷盘?
- MySQL 正常关闭时;
- 当 redo log buffer 中记录的写入量大于 redo log buffer 内存空间的一半时,会触发落盘;
- InnoDB 的后台线程每隔 1 秒,将 redo log buffer 持久化到磁盘。
- 每次事务提交时都将缓存在 redo log buffer 里的 redo log 直接持久化到磁盘(这个策略可由 innodb_flush_log_at_trx_commit 参数控制,下面会说)。
redo log 满了

如果 write pos 追上了 checkpoint,就意味着 redo log 文件满了,这时 MySQL 不能再执行新的更新操作,也就是说 MySQL 会被阻塞(因此所以针对并发量大的系统,适当设置 redo log 的文件大小非常重要),此时会停下来将 Buffer Pool 中的脏页刷新到磁盘中,然后标记 redo log 哪些记录可以被擦除,接着对旧的 redo log 记录进行擦除,等擦除完旧记录腾出了空间,checkpoint 就会往后移动(图中顺时针),然后 MySQL 恢复正常运行,继续执行新的更新操作。
为什么需要 binlog ?
前面介绍的 undo log 和 redo log 这两个日志都是 Innodb 存储引擎生成的。
MySQL 在完成一条更新操作后,Server 层还会生成一条 binlog,等之后事务提交的时候,会将该事物执行过程中产生的所有 binlog 统一写 入 binlog 文件。
redo log 和 binlog 的区别
1、适用对象不同:
- binlog 是 MySQL 的 Server 层实现的日志,所有存储引擎都可以使用;
- redo log 是 Innodb 存储引擎实现的日志;
2、文件格式不同:
- binlog 有 3 种格式类型,分别是 STATEMENT(默认格式)、ROW、 MIXED,区别如下:
- STATEMENT:每一条修改数据的 SQL 都会被记录到 binlog 中(相当于记录了逻辑操作,所以针对这种格式, binlog 可以称为逻辑日志),主从复制中 slave 端再根据 SQL 语句重现。但 STATEMENT 有动态函数的问题,比如你用了 uuid 或者 now 这些函数,你在主库上执行的结果并不是你在从库执行的结果,这种随时在变的函数会导致复制的数据不一致;
- ROW:记录行数据最终被修改成什么样了(这种格式的日志,就不能称为逻辑日志了),不会出现 STATEMENT 下动态函数的问题。但 ROW 的缺点是每行数据的变化结果都会被记录,比如执行批量 update 语句,更新多少行数据就会产生多少条记录,使 binlog 文件过大,而在 STATEMENT 格式下只会记录一个 update 语句而已;
- MIXED:包含了 STATEMENT 和 ROW 模式,它会根据不同的情况自动使用 ROW 模式和 STATEMENT 模式;
- redo log 是物理日志,记录的是在某个数据页做了什么修改,比如对 XXX 表空间中的 YYY 数据页 ZZZ 偏移量的地方做了AAA 更新;
3、写入方式不同:
- binlog 是追加写,写满一个文件,就创建一个新的文件继续写,不会覆盖以前的日志,保存的是全量的日志。
- redo log 是循环写,日志空间大小是固定,全部写满就从头开始,保存未被刷入磁盘的脏页日志。
4、用途不同:
- binlog 用于备份恢复、主从复制;
- redo log 用于掉电等故障恢复。
如果不小心整个数据库的数据被删除了,能使用 redo log 文件恢复数据吗?
不可以使用 redo log 文件恢复,只能使用 binlog 文件恢复。
因为 redo log 文件是循环写,是会边写边擦除日志的,只记录未被刷入磁盘的数据的物理日志,已经刷入磁盘的数据都会从 redo log 文件里擦除。
binlog 文件保存的是全量的日志,也就是保存了所有数据变更的情况,理论上只要记录在 binlog 上的数据,都可以恢复,所以如果不小心整个数据库的数据被删除了,得用 binlog 文件恢复数据。
主从复制是怎么实现?
MySQL 的主从复制依赖于 binlog ,也就是记录 MySQL 上的所有变化并以二进制形式保存在磁盘上。复制的过程就是将 binlog 中的数据从主库传输到从库上。
这个过程一般是异步的,也就是主库上执行事务操作的线程不会等待复制 binlog 的线程同步完成。

- 写入 Binlog:主库写 binlog 日志,提交事务,并更新本地存储数据。
- 同步 Binlog:把 binlog 复制到所有从库上,每个从库把 binlog 写到暂存日志中。
- 回放 Binlog:回放 binlog,并更新存储引擎中的数据。
具体详细过程如下:
- MySQL 主库在收到客户端提交事务的请求之后,会先写入 binlog,再提交事务,更新存储引擎中的数据,事务提交完成后,返回给客户端“操作成功”的响应。
- 从库会创建一个专门的 I/O 线程,连接主库的 log dump 线程,来接收主库的 binlog 日志,再把 binlog 信息写入 relay log 的中继日志里,再返回给主库“复制成功”的响应。
- 从库会创建一个用于回放 binlog 的线程,去读 relay log 中继日志,然后回放 binlog 更新存储引擎中的数据,最终实现主从的数据一致性。
从库是不是越多越好?
不是的。
因为从库数量增加,从库连接上来的 I/O 线程也比较多,主库也要创建同样多的 log dump 线程来处理复制的请求,对主库资源消耗比较高,同时还受限于主库的网络带宽。
所以在实际使用中,一个主库一般跟 2~3 个从库(1 套数据库,1 主 2 从 1 备主),这就是一主多从的 MySQL 集群结构。
MySQL 主从复制还有哪些模型?
主要有三种:
- 同步复制:MySQL 主库提交事务的线程要等待所有从库的复制成功响应,才返回客户端结果。这种方式在实际项目中,基本上没法用,原因有两个:一是性能很差,因为要复制到所有节点才返回响应;二是可用性也很差,主库和所有从库任何一个数据库出问题,都会影响业务。
- 异步复制(默认模型):MySQL 主库提交事务的线程并不会等待 binlog 同步到各从库,就返回客户端结果。这种模式一旦主库宕机,数据就会发生丢失。
- 半同步复制:MySQL 5.7 版本之后增加的一种复制方式,介于两者之间,事务线程不用等待所有的从库复制成功响应,只要一部分复制成功响应回来就行,比如一主二从的集群,只要数据成功复制到任意一个从库上,主库的事务线程就可以返回给客户端。这种半同步复制的方式,兼顾了异步复制和同步复制的优点,即使出现主库宕机,至少还有一个从库有最新的数据,不存在数据丢失的风险。
为什么需要两阶段提交?
MySQL 为了避免出现两份日志之间的逻辑不一致的问题,使用了「两阶段提交」来解决,两阶段提交其实是分布式事务一致性协议,它可以保证多个逻辑操作要不全部成功,要不全部失败,不会出现半成功的状态。
两阶段提交把单个事务的提交拆分成了 2 个阶段,分别是「准备(Prepare)阶段」和「提交(Commit)阶段」,每个阶段都由协调者(Coordinator)和参与者(Participant)共同完成。注意,不要把提交(Commit)阶段和 commit 语句混淆了,commit 语句执行的时候,会包含提交(Commit)阶段。
MySQL 使用了内部 XA 事务(是的,也有外部 XA 事务,跟本文不太相关,我就不介绍了),内部 XA 事务由 binlog 作为协调者,存储引擎是参与者。
当客户端执行 commit 语句或者在自动提交的情况下,MySQL 内部开启一个 XA 事务,分两阶段来完成 XA 事务的提交,如下图:

从图中可看出,事务的提交过程有两个阶段,就是将 redo log 的写入拆成了两个步骤:prepare 和 commit,中间再穿插写入binlog,具体如下:
- prepare 阶段:将 XID(内部 XA 事务的 ID) 写入到 redo log,同时将 redo log 对应的事务状态设置为 prepare,然后将 redo log 持久化到磁盘(innodb_flush_log_at_trx_commit = 1 的作用);
- commit 阶段:把 XID 写入到 binlog,然后将 binlog 持久化到磁盘(sync_binlog = 1 的作用),接着调用引擎的提交事务接口,将 redo log 状态设置为 commit,此时该状态并不需要持久化到磁盘,只需要 write 到文件系统的 page cache 中就够了,因为只要 binlog 写磁盘成功,就算 redo log 的状态还是 prepare 也没有关系,一样会被认为事务已经执行成功;
两阶段提交虽然保证了两个日志文件的数据一致性,但是性能很差,主要有两个方面的影响:
- 磁盘 I/O 次数高:对于“双1”配置,每个事务提交都会进行两次 fsync(刷盘),一次是 redo log 刷盘,另一次是 binlog 刷盘。
- 锁竞争激烈:两阶段提交虽然能够保证「单事务」两个日志的内容一致,但在「多事务」的情况下,却不能保证两者的提交顺序一致,因此,在两阶段提交的流程基础上,还需要加一个锁来保证提交的原子性,从而保证多事务的情况下,两个日志的提交顺序一致。
MySQL 引入了 binlog 组提交(group commit)机制,当有多个事务提交的时候,会将多个 binlog 刷盘操作合并成一个,从而减少磁盘 I/O 的次数,如果说 10 个事务依次排队刷盘的时间成本是 10,那么将这 10 个事务一次性一起刷盘的时间成本则近似于 1。
引入了组提交机制后,prepare 阶段不变,只针对 commit 阶段,将 commit 阶段拆分为三个过程:
- flush 阶段:多个事务按进入的顺序将 binlog 从 cache 写入文件(不刷盘);
- sync 阶段:对 binlog 文件做 fsync 操作(多个事务的 binlog 合并一次刷盘);
- commit 阶段:各个事务按顺序做 InnoDB commit 操作;
上面的每个阶段都有一个队列,每个阶段有锁进行保护,因此保证了事务写入的顺序,第一个进入队列的事务会成为 leader,leader领导所在队列的所有事务,全权负责整队的操作,完成后通知队内其他事务操作结束。
对每个阶段引入了队列后,锁就只针对每个队列进行保护,不再锁住提交事务的整个过程,可以看的出来,锁粒度减小了,这样就使得多个阶段可以并发执行,从而提升效率。
Redis
数据结构
String(字符串),Hash(哈希),List(列表),Set(集合)、Zset(有序集合)。

后续增加了:BitMap(2.2 版新增)、HyperLogLog(2.8 版新增)、GEO(3.2 版新增)、Stream(5.0 版新增)。
- String 类型的应用场景:缓存对象、常规计数、分布式锁、共享 session 信息等。
- SDS(简单动态字符串),不仅可以保存文本数据,还可以保存二进制数据**。因为 SDS 使用 len 属性的值而不是空字符来判断字符串是否结束。
- SDS 获取字符串长度的时间复杂度是 O(1)
- 拼接字符串不会造成缓冲区溢出
- List 类型的应用场景:消息队列(但是有两个问题:1. 生产者需要自行实现全局唯一 ID;2. 不能以消费组形式消费数据)等。
- 压缩链表
- 双向链表
- 3.2 之后只有 quicklist
- Hash 类型:缓存对象、购物车等。
- 压缩列表或哈希表
- Set 类型:聚合计算(并集、交集、差集)场景,比如点赞、共同关注、抽奖活动等。
- 整数集合(元素都是整数且元素个数小于 512)
- 哈希表
- Zset 类型:排序场景,比如排行榜、电话和姓名排序等。
- 压缩列表
- 跳表
Redis 后续版本又支持四种数据类型,它们的应用场景如下:
- BitMap(2.2 版新增):二值状态统计的场景,比如签到、判断用户登陆状态、连续签到用户总数等;
- HyperLogLog(2.8 版新增):海量数据基数统计的场景,比如百万级网页 UV 计数等;
- GEO(3.2 版新增):存储地理位置信息的场景,比如滴滴叫车;
- Stream(5.0 版新增):消息队列,相比于基于 List 类型实现的消息队列,有这两个特有的特性:自动生成全局唯一消息ID,支持以消费组形式消费数据。
单线程模型
Redis 单线程指的是「接收客户端请求->解析请求 ->进行数据读写等操作->发送数据给客户端」这个过程是由一个线程(主线程)来完成的,这也是我们常说 Redis 是单线程的原因。
但是,Redis 程序并不是单线程的,Redis 在启动的时候,是会启动后台线程(BIO)的:
- Redis 在 2.6 版本,会启动 2 个后台线程,分别处理关闭文件、AOF 刷盘这两个任务;
- Redis 在 4.0 版本之后,新增了一个新的后台线程,用来异步释放 Redis 内存,也就是 lazyfree 线程。例如执行 unlink key / flushdb async / flushall async 等命令,会把这些删除操作交给后台线程来执行,好处是不会导致 Redis 主线程卡顿。因此,当我们要删除一个大 key 的时候,不要使用 del 命令删除,因为 del 是在主线程处理的,这样会导致 Redis 主线程卡顿,因此我们应该使用 unlink 命令来异步删除大key。
关闭文件、AOF 刷盘、释放内存这三个任务都有各自的任务队列:
- BIO_CLOSE_FILE,关闭文件任务队列:当队列有任务后,后台线程会调用 close(fd) ,将文件关闭;
- BIO_AOF_FSYNC,AOF刷盘任务队列:当 AOF 日志配置成 everysec 选项后,主线程会把 AOF 写日志操作封装成一个任务,也放到队列中。当发现队列有任务后,后台线程会调用 fsync(fd),将 AOF 文件刷盘,
- BIO_LAZY_FREE,lazy free 任务队列:当队列有任务后,后台线程会 free(obj) 释放对象 / free(dict) 删除数据库所有对象 / free(skiplist) 释放跳表对象;

- Redis 的大部分操作都在内存中完成,并且采用了高效的数据结构,因此 Redis 瓶颈可能是机器的内存或者网络带宽,而并非 CPU,既然 CPU 不是瓶颈,那么自然就采用单线程的解决方案了;
- Redis 采用单线程模型可以避免了多线程之间的竞争,省去了多线程切换带来的时间和性能上的开销,而且也不会导致死锁问题。
- Redis 采用了 I/O 多路复用机制处理大量的客户端 Socket 请求,IO 多路复用机制是指一个线程处理多个 IO 流,就是我们经常听到的 select/epoll 机制。
Redis 6.0 之前为什么使用单线程?
CPU 并不是制约 Redis 性能表现的瓶颈所在,更多情况下是受到内存大小和网络I/O的限制,所以 Redis 核心网络模型使用单线程并没有什么问题,如果你想要使用服务的多核CPU,可以在一台服务器上启动多个节点或者采用分片集群的方式。
Redis 6.0 之后为什么引入了多线程?
在 Redis 6.0 版本之后,也采用了多个 I/O 线程来处理网络请求,这是因为随着网络硬件的性能提升,Redis 的性能瓶颈有时会出现在网络 I/O 的处理上。
所以为了提高网络 I/O 的并行度,Redis 6.0 对于网络 I/O 采用多线程来处理。但是对于命令的执行,Redis 仍然使用单线程来处理,所以大家不要误解 Redis 有多线程同时执行命令。
Redis 6.0 版本之后,Redis 在启动的时候,默认情况下会额外创建 6 个线程(这里的线程数不包括主线程):
- Redis-server : Redis的主线程,主要负责执行命令;
- bio_close_file、bio_aof_fsync、bio_lazy_free:三个后台线程,分别异步处理关闭文件任务、AOF刷盘任务、释放内存任务;
- io_thd_1、io_thd_2、io_thd_3:三个 I/O 线程,io-threads 默认是 4 ,所以会启动 3(4-1)个 I/O 多线程,用来分担 Redis 网络 I/O 的压力。
Redis 持久化
Redis 共有三种数据持久化的方式:
- AOF 日志:每执行一条写操作命令,就把该命令以追加的方式写入到一个文件里;
- RDB 快照:将某一时刻的内存数据,以二进制的方式写入磁盘;
- 混合持久化方式:Redis 4.0 新增的方式,集成了 AOF 和 RDB 的优点;
AOF 日志是如何实现的?
Redis 在执行完一条写操作命令后,就会把该命令以追加的方式写入到一个文件里,然后 Redis 重启时,会读取该文件记录的命令,然后逐一执行命令的方式来进行数据恢复。
为什么先执行命令,再把数据写入日志呢?
- 避免额外的检查开销
- 不会阻塞当前写操作命令的执行:因为当写操作命令执行成功后,才会将命令记录到 AOF 日志。
风险
- 数据可能会丢失
- 可能阻塞其他操作
AOF 写回策略有几种?
- Redis 执行完写操作命令后,会将命令追加到 server.aof_buf 缓冲区;
- 然后通过 write() 系统调用,将 aof_buf 缓冲区的数据写入到 AOF 文件,此时数据并没有写入到硬盘,而是拷贝到了内核缓冲区 page cache,等待内核将数据写入硬盘;
- 具体内核缓冲区的数据什么时候写入到硬盘,由内核决定。
Redis 提供了 3 种写回硬盘的策略,控制的就是上面说的第三步的过程。 在 Redis.conf 配置文件中的 appendfsync 配置项可以有以下 3 种参数可填:
- Always,这个单词的意思是「总是」,所以它的意思是每次写操作命令执行完后,同步将 AOF 日志数据写回硬盘;
- Everysec,这个单词的意思是「每秒」,所以它的意思是每次写操作命令执行完后,先将命令写入到 AOF 文件的内核缓冲区,然后每隔一秒将缓冲区里的内容写回到硬盘;
- No,意味着不由 Redis 控制写回硬盘的时机,转交给操作系统控制写回的时机,也就是每次写操作命令执行完后,先将命令写入到 AOF 文件的内核缓冲区,再由操作系统决定何时将缓冲区内容写回硬盘。
AOF 日志过大,会触发什么机制?
Redis 为了避免 AOF 文件越写越大,提供了 AOF 重写机制,当 AOF 文件的大小超过所设定的阈值后,Redis 就会启用 AOF 重写机制,来压缩 AOF 文件。
AOF 重写机制是在重写时,读取当前数据库中的所有键值对,然后将每一个键值对用一条命令记录到「新的 AOF 文件」,等到全部记录完后,就将新的 AOF 文件替换掉现有的 AOF 文件。
重写 AOF 日志的过程是怎样的?
Redis 的重写 AOF 过程是由后台子进程 *bgrewriteaof* 来完成的,这么做可以达到两个好处:
- 子进程进行 AOF 重写期间,主进程可以继续处理命令请求,从而避免阻塞主进程;
- 子进程带有主进程的数据副本,这里使用子进程而不是线程,因为如果是使用线程,多线程之间会共享内存,那么在修改共享内存数据的时候,需要通过加锁来保证数据的安全,而这样就会降低性能。而使用子进程,创建子进程时,父子进程是共享内存数据的,不过这个共享的内存只能以只读的方式,而当父子进程任意一方修改了该共享内存,就会发生「写时复制」,于是父子进程就有了独立的数据副本,就不用加锁来保证数据安全。
但是重写过程中,主进程依然可以正常处理命令,那问题来了,重写 AOF 日志过程中,如果主进程修改了已经存在 key-value,那么会发生写时复制,此时这个 key-value 数据在子进程的内存数据就跟主进程的内存数据不一致了,这时要怎么办呢?
为了解决这种数据不一致问题,Redis 设置了一个 AOF 重写缓冲区,这个缓冲区在创建 bgrewriteaof 子进程之后开始使用。
在重写 AOF 期间,当 Redis 执行完一个写命令之后,它会同时将这个写命令写入到 「AOF 缓冲区」和 「AOF 重写缓冲区」。

也就是说,在 bgrewriteaof 子进程执行 AOF 重写期间,主进程需要执行以下三个工作:
- 执行客户端发来的命令;
- 将执行后的写命令追加到 「AOF 缓冲区」;
- 将执行后的写命令追加到 「AOF 重写缓冲区」;
当子进程完成 AOF 重写工作(扫描数据库中所有数据,逐一把内存数据的键值对转换成一条命令,再将命令记录到重写日志)后,会向主进程发送一条信号,信号是进程间通讯的一种方式,且是异步的。
主进程收到该信号后,会调用一个信号处理函数,该函数主要做以下工作:
- 将 AOF 重写缓冲区中的所有内容追加到新的 AOF 的文件中,使得新旧两个 AOF 文件所保存的数据库状态一致;
- 新的 AOF 的文件进行改名,覆盖现有的 AOF 文件。
信号函数执行完后,主进程就可以继续像往常一样处理命令了。
RDB 快照是如何实现的呢?
Redis 增加了 RDB 快照。RDB 快照就是记录某一个瞬间的内存数据,记录的是实际数据,而 AOF 文件记录的是命令操作的日志,而不是实际的数据。
RDB 做快照时会阻塞线程吗?
- 执行了 save 命令,就会在主线程生成 RDB 文件,由于和执行操作命令在同一个线程,所以如果写入 RDB 文件的时间太长,会阻塞主线程;
- 执行了 bgsave 命令,会创建一个子进程来生成 RDB 文件,这样可以避免主线程的阻塞;
Redis 的快照是全量快照,也就是说每次执行快照,都是把内存中的「所有数据」都记录到磁盘中。所以执行快照是一个比较重的操作,如果频率太频繁,可能会对 Redis 性能产生影响。如果频率太低,服务器故障时,丢失的数据会更多。
RDB 在执行快照的时候,数据能修改吗?
可以的,执行 bgsave 过程中,Redis 依然可以继续处理操作命令的,也就是数据是能被修改的,关键的技术就在于写时复制技术(Copy-On-Write, COW)。
执行 bgsave 命令的时候,会通过 fork() 创建子进程,此时子进程和父进程是共享同一片内存数据的,因为创建子进程的时候,会复制父进程的页表,但是页表指向的物理内存还是一个,此时如果主线程执行读操作,则主线程和 bgsave 子进程互相不影响。
如果主线程执行写操作,则被修改的数据会复制一份副本,然后 bgsave 子进程会把该副本数据写入 RDB 文件,在这个过程中,主线程仍然可以直接修改原来的数据。
为什么会有混合持久化?
混合持久化工作在 AOF 日志重写过程,当开启了混合持久化时,在 AOF 重写日志时,fork 出来的重写子进程会先将与主线程共享的内存数据(1)以 RDB 方式写入到 AOF 文件,然后主线程处理的操作命令会被记录在重写缓冲区里,(2)重写缓冲区里的增量命令会以 AOF 方式写入到 AOF 文件,写入完成后通知主进程将新的含有 RDB 格式和 AOF 格式的 AOF 文件替换旧的的 AOF 文件。
也就是说,使用了混合持久化,AOF 文件的前半部分是 RDB 格式的全量数据,后半部分是 AOF 格式的增量数据。
混合持久化优点:
- 混合持久化结合了 RDB 和 AOF 持久化的优点,开头为 RDB 的格式,使得 Redis 可以更快的启动,同时结合 AOF 的优点,有减低了大量数据丢失的风险。
混合持久化缺点:
- AOF 文件中添加了 RDB 格式的内容,使得 AOF 文件的可读性变得很差;
- 兼容性差,如果开启混合持久化,那么此混合持久化 AOF 文件,就不能用在 Redis 4.0 之前版本了。
Redis 集群
Redis 如何实现服务高可用?
Redis 的主从复制、哨兵模式、切片集群。
主从复制
主从复制是 Redis 高可用服务的最基础的保证,实现方案就是将从前的一台 Redis 服务器,同步数据到多台从 Redis 服务器上,即一主多从的模式,且主从服务器之间采用的是「读写分离」的方式。
主服务器可以进行读写操作,当发生写操作时自动将写操作同步给从服务器,而从服务器一般是只读,并接受主服务器同步过来写操作命令,然后执行这条命令。
主从服务器之间的命令复制是异步进行的。
具体来说,在主从服务器命令传播阶段,主服务器收到新的写命令后,会发送给从服务器。但是,主服务器并不会等到从服务器实际执行完命令后,再把结果返回给客户端,而是主服务器自己在本地执行完命令后,就会向客户端返回结果了。如果从服务器还没有执行主服务器同步过来的命令,主从服务器间的数据就不一致了。
具体包括:全量复制、基于长连接的命令传播、增量复制。
主从服务器第一次同步的时候,就是采用全量复制,此时主服务器会两个耗时的地方,分别是生成 RDB 文件和传输 RDB 文件。为了避免过多的从服务器和主服务器进行全量复制,可以把一部分从服务器升级为「经理角色」,让它也有自己的从服务器,通过这样可以分摊主服务器的压力。
第一次同步完成后,主从服务器都会维护着一个长连接,主服务器在接收到写操作命令后,就会通过这个连接将写命令传播给从服务器,来保证主从服务器的数据一致性。
如果遇到网络断开,增量复制就可以上场了,不过这个还跟 repl_backlog_size 这个大小有关系。
如果它配置的过小,主从服务器网络恢复时,可能发生「从服务器」想读的数据已经被覆盖了,那么这时就会导致主服务器采用全量复制的方式。所以为了避免这种情况的频繁发生,要调大这个参数的值,以降低主从服务器断开后全量同步的概率。
哨兵模式
在使用 Redis 主从服务的时候,会有一个问题,就是当 Redis 的主从服务器出现故障宕机时,需要手动进行恢复。
为了解决这个问题,Redis 增加了哨兵模式(Redis Sentinel),因为哨兵模式做到了可以监控主从服务器,并且提供主从节点故障转移的功能。
哨兵节点主要负责三件事情:监控、选主、通知。
监控
哨兵会每隔 1 秒给所有主从节点发送 PING 命令,当主从节点收到 PING 命令后,会发送一个响应命令给哨兵,这样就可以判断它们是否在正常运行。
如果主节点或者从节点没有在规定的时间内响应哨兵的 PING 命令,哨兵就会将它们标记为「主观下线」。
之所以针对「主节点」设计「主观下线」和「客观下线」两个状态,是因为有可能「主节点」其实并没有故障,可能只是因为主节点的系统压力比较大或者网络发送了拥塞,导致主节点没有在规定时间内响应哨兵的 PING 命令。
所以,为了减少误判的情况,哨兵在部署的时候不会只部署一个节点,而是用多个节点部署成哨兵集群(最少需要三台机器来部署哨兵集群),通过多个哨兵节点一起判断,就可以就可以避免单个哨兵因为自身网络状况不好,而误判主节点下线的情况。同时,多个哨兵的网络同时不稳定的概率较小,由它们一起做决策,误判率也能降低。
具体是怎么判定主节点为「客观下线」的呢?
当一个哨兵判断主节点为「主观下线」后,就会向其他哨兵发起命令,其他哨兵收到这个命令后,就会根据自身和主节点的网络状况,做出赞成投票或者拒绝投票的响应。
当这个哨兵的赞同票数达到哨兵配置文件中的 quorum 配置项设定的值后,这时主节点就会被该哨兵标记为「客观下线」。
哨兵判断完主节点客观下线后,哨兵就要开始在多个「从节点」中,选出一个从节点来做新主节点。
选主
为了更加“客观”的判断主节点故障了,一般不会只由单个哨兵的检测结果来判断,而是多个哨兵一起判断,这样可以减少误判概率,所以哨兵是以哨兵集群的方式存在的。
问题来了,由哨兵集群中的哪个节点进行主从故障转移呢?
所以这时候,还需要在哨兵集群中选出一个 leader,让 leader 来执行主从切换。
选举 leader 的过程其实是一个投票的过程,在投票开始前,肯定得有个「候选者」。
那谁来作为候选者呢?
哪个哨兵节点判断主节点为「客观下线」,这个哨兵节点就是候选者,所谓的候选者就是想当 Leader 的哨兵。
候选者如何选举成为 Leader?
候选者会向其他哨兵发送命令,表明希望成为 Leader 来执行主从切换,并让所有其他哨兵对它进行投票。
每个哨兵只有一次投票机会,如果用完后就不能参与投票了,可以投给自己或投给别人,但是只有候选者才能把票投给自己。
那么在投票过程中,任何一个「候选者」,要满足两个条件:
- 第一,拿到半数以上的赞成票;
- 第二,拿到的票数同时还需要大于等于哨兵配置文件中的 quorum 值。
举个例子,假设哨兵节点有 3 个,quorum 设置为 2,那么任何一个想成为 Leader 的哨兵只要拿到 2 张赞成票,就可以选举成功了。如果没有满足条件,就需要重新进行选举。
为什么哨兵节点至少要有 3 个?
如果哨兵集群中只有 2 个哨兵节点,此时如果一个哨兵想要成功成为 Leader,必须获得 2 票,而不是 1 票。
Redis 1 主 4 从,5 个哨兵,quorum 设置为 3,如果 2 个哨兵故障,当主节点宕机时,哨兵能否判断主节点“客观下线”?主从能否自动切换?
- 哨兵集群可以判定主节点“客观下线”。哨兵集群还剩下 3 个哨兵,当一个哨兵判断主节点“主观下线”后,询问另外 2 个哨兵后,有可能能拿到 3 张赞同票,这时就达到了 quorum 的值,因此,哨兵集群可以判定主节点为“客观下线”。
- 哨兵集群可以完成主从切换。当有个哨兵标记主节点为「客观下线」后,就会进行选举 Leader 的过程,因为此时哨兵集群还剩下 3 个哨兵,那么还是可以拿到半数以上(5/2+1=3)的票,而且也达到了 quorum 值,满足了选举 Leader 的两个条件,所以就能选举成功,因此哨兵集群可以完成主从切换。
所以,quorum 的值建议设置为哨兵个数的二分之一加 1,例如 3 个哨兵就设置 2,5 个哨兵设置为 3,而且哨兵节点的数量应该是奇数。
切片集群模式
当 Redis 缓存数据量大到一台服务器无法缓存时,就需要使用 Redis 切片集群(Redis Cluster )方案,它将数据分布在不同的服务器上,以此来降低系统对单主节点的依赖,从而提高 Redis 服务的读写性能。
Redis Cluster 方案采用哈希槽(Hash Slot),来处理数据和节点之间的映射关系。在 Redis Cluster 方案中,一个切片集群共有 16384 个哈希槽,这些哈希槽类似于数据分区,每个键值对都会根据它的 key,被映射到一个哈希槽中,具体执行过程分为两大步:
- 根据键值对的 key,按照 CRC16 算法计算一个 16 bit 的值。
- 再用 16bit 值对 16384 取模,得到 0~16383 范围内的模数,每个模数代表一个相应编号的哈希槽。
接下来的问题就是,这些哈希槽怎么被映射到具体的 Redis 节点上的呢?有两种方案:
- 平均分配: 在使用 cluster create 命令创建 Redis 集群时,Redis 会自动把所有哈希槽平均分布到集群节点上。比如集群中有 9 个节点,则每个节点上槽的个数为 16384/9 个。
- 手动分配: 可以使用 cluster meet 命令手动建立节点间的连接,组成集群,再使用 cluster addslots 命令,指定每个节点上的哈希槽个数。
需要注意的是,在手动分配哈希槽时,需要把 16384 个槽都分配完,否则 Redis 集群无法正常工作。

Codis 使用 Go 语言开发,它是一个代理中间件,它和 Redis 一样也使用 Redis 协议对外提供服务,当客户端向 Codis 发送指令时,Codis 负责将指令转发到后面的 Redis 实例来执行,并将返回结果再转回给客户端。
Codis 上挂接的所有 Redis 实例构成一个 Redis 集群,当集群空间不足时,可以通过动态增加 Redis 实例来实现扩容需求。
客户端操纵 Codis 同操纵 Redis 几乎没有区别,还是可以使用相同的客户端 SDK,不需要任何变化。
因为 Codis 是无状态的,它只是一个转发代理中间件,这意味着我们可以启动多个 Codis 实例,供客户端使用,每个 Codis 节点都是对等的。因为单个 Codis 代理能支撑的 QPS 比较有限,通过启动多个 Codis 代理可以显著增加整体的 QPS 需求,还能起到容灾功能,挂掉一个 Codis 代理没关系,还有很多 Codis 代理可以继续服务。

Codis 分片原理
Codis 要负责将特定的 key 转发到特定的 Redis 实例,那么这种对应关系 Codis 是如何管理的呢?
Codis 将所有的 key 默认划分为 1024 个槽位(slot),它首先对客户端传过来的 key 进行 crc32 运算计算哈希值,再将 hash 后的整数值对 1024 这个整数进行取模得到一个余数,这个余数就是对应 key 的槽位。
每个槽位都会唯一映射到后面的多个 Redis 实例之一,Codis 会在内存维护槽位和 Redis 实例的映射关系。这样有了上面 key 对应的槽位,那么它应该转发到哪个 Redis 实例就很明确了。
槽位数量默认是1024,它是可以配置的,如果集群节点比较多,建议将这个数值配置大一些,比如2048、4096。
不同的 Codis 实例之间槽位关系如何同步?
如果 Codis 的槽位映射关系只存储在内存里,那么不同的 Codis 实例之间的槽位关系就无法得到同步。所以 Codis 还需要一个分布式配置存储数据库专门用来持久化槽位关系。Codis 开始使用 ZooKeeper,后来连 etcd 也一块支持了。
Codis 将槽位关系存储在 zk 中,并且提供了一个 Dashboard 可以用来观察和修改槽位关系,当槽位关系变化时,Codis Proxy 会监听到变化并重新同步槽位关系,从而实现多个 Codis Proxy 之间共享相同的槽位关系配置。
扩容
刚开始 Codis 后端只有一个 Redis 实例,1024 个槽位全部指向同一个 Redis。然后一个 Redis 实例内存不够了,所以又加了一个 Redis 实例。这时候需要对槽位关系进行调整,将一半的槽位划分到新的节点。这意味着需要对这一半的槽位对应的所有 key 进行迁移,迁移到新的 Redis 实例。
那 Codis 如何找到槽位对应的所有 key 呢?
Codis 对 Redis 进行了改造,增加了 SLOTSSCAN 指令,可以遍历指定 slot 下所有的 key。Codis 通过 SLOTSSCAN 扫描出待迁移槽位的所有的 key,然后挨个迁移每个 key 到新的 Redis 节点。
在迁移过程中,Codis 还是会接收到新的请求打在当前正在迁移的槽位上,因为当前槽位的数据同时存在于新旧两个槽位中,Codis 如何判断该将请求转发到后面的哪个具体实例呢?
Codis 无法判定迁移过程中的 key 究竟在哪个实例中,所以它采用了另一种完全不同的思路。当 Codis 接收到位于正在迁移槽位中的 key 后,会立即强制对当前的单个 key 进行迁移,迁移完成后,再将请求转发到新的 Redis 实例。
1 | |
我们知道 Redis 支持的所有 Scan 指令都是无法避免重复的,同样 Codis 自定义的 SLOTSSCAN 也是一样,但是这并不会影响迁移。因为单个 key 被迁移一次后,在旧实例中它就彻底被删除了,也就不可能会再次被扫描出来了。
自动均衡
Redis 新增实例,手工均衡slots太繁琐,所以 Codis 提供了自动均衡功能。自动均衡会在系统比较空闲的时候观察每个 Redis 实例对应的 Slots 数量,如果不平衡,就会自动进行迁移。
Codis 的代价
Codis 给 Redis 带来了扩容的同时,也损失了其它一些特性。因为 Codis 中所有的 key 分散在不同的 Redis 实例中,所以事务就不能再支持了,事务只能在单个 Redis 实例中完成。同样 rename 操作也很危险,它的参数是两个 key,如果这两个 key 在不同的 Redis 实例中,rename 操作是无法正确完成的。Codis 的官方文档中给出了一系列不支持的命令列表。
同样为了支持扩容,单个 key 对应的 value 不宜过大,因为集群的迁移的最小单位是 key,对于一个 hash 结构,它会一次性使用 hgetall 拉取所有的内容,然后使用 hmset 放置到另一个节点。如果 hash 内部的 kv 太多,可能会带来迁移卡顿。官方建议单个集合结构的总字节容量不要超过 1M。如果我们要放置社交关系数据,例如粉丝列表这种,就需要注意了,可以考虑分桶存储,在业务上作折中。
Codis 因为增加了 Proxy 作为中转层,所有在网络开销上要比单个 Redis 大,毕竟数据包多走了一个网络节点,整体在性能上要比单个 Redis 的性能有所下降。但是这部分性能损耗不是太明显,可以通过增加 Proxy 的数量来弥补性能上的不足。
Codis 的集群配置中心使用 zk 来实现,意味着在部署上增加了 zk 运维的代价,不过大部分互联网企业内部都有 zk 集群,可以使用现有的 zk 集群使用即可。
集群脑裂导致数据丢失怎么办?
在 Redis 主从架构中,部署方式一般是「一主多从」,主节点提供写操作,从节点提供读操作。 如果主节点的网络突然发生了问题,它与所有的从节点都失联了,但是此时的主节点和客户端的网络是正常的,这个客户端并不知道 Redis 内部已经出现了问题,还在照样的向这个失联的主节点写数据(过程A),此时这些数据被旧主节点缓存到了缓冲区里,因为主从节点之间的网络问题,这些数据都是无法同步给从节点的。
这时,哨兵也发现主节点失联了,它就认为主节点挂了(但实际上主节点正常运行,只是网络出问题了),于是哨兵就会在「从节点」中选举出一个 leader 作为主节点,这时集群就有两个主节点了 —— 脑裂出现了。
然后,网络突然好了,哨兵因为之前已经选举出一个新主节点了,它就会把旧主节点降级为从节点(A),然后从节点(A)会向新主节点请求数据同步,因为第一次同步是全量同步的方式,此时的从节点(A)会清空掉自己本地的数据,然后再做全量同步。所以,之前客户端在过程 A 写入的数据就会丢失了,也就是集群产生脑裂数据丢失的问题。
解决方案
当主节点发现从节点下线或者通信超时的总数量小于阈值时,那么禁止主节点进行写数据,直接把错误返回给客户端。
在 Redis 的配置文件中有两个参数我们可以设置:
- min-slaves-to-write x,主节点必须要有至少 x 个从节点连接,如果小于这个数,主节点会禁止写数据。
- min-slaves-max-lag x,主从数据复制和同步的延迟不能超过 x 秒,如果超过,主节点会禁止写数据。
我们可以把 min-slaves-to-write 和 min-slaves-max-lag 这两个配置项搭配起来使用,分别给它们设置一定的阈值,假设为 N 和 T。
这两个配置项组合后的要求是,主库连接的从库中至少有 N 个从库,和主库进行数据复制时的 ACK 消息延迟不能超过 T 秒,否则,主库就不会再接收客户端的写请求了。
即使原主库是假故障,它在假故障期间也无法响应哨兵心跳,也不能和从库进行同步,自然也就无法和从库进行 ACK 确认了。这样一来,min-slaves-to-write 和 min-slaves-max-lag 的组合要求就无法得到满足,原主库就会被限制接收客户端写请求,客户端也就不能在原主库中写入新数据了。
等到新主库上线时,就只有新主库能接收和处理客户端请求,此时,新写的数据会被直接写到新主库中。而原主库会被哨兵降为从库,即使它的数据被清空了,也不会有新数据丢失。
Raft 协议解决脑裂
raft 保证了任意时刻最多只有一个合法 leader。
Raft协议通过以下核心机制解决分布式系统中的脑裂(Split-brain)问题,确保集群中任意时刻最多只有一个合法Leader,从而避免数据不一致性:
基于任期(Term)的领导者选举机制
- 任期递增规则:每个节点维护一个递增的任期号(Term),只有拥有更高任期的候选者才能参与选举。当网络分区发生时,分裂后的少数派节点无法获得多数投票,因此无法产生新Leader。
- 多数派投票(Quorum):候选者必须获得超过半数节点的投票才能成为Leader。例如,5节点集群需要至少3票。即使发生网络分区,只有包含多数节点的分区能选出新Leader,而少数派分区无法满足条件。
心跳机制与旧Leader自动退让
- 心跳维持领导权:Leader定期发送心跳包(AppendEntries RPC)给Follower。若Follower在选举超时时间内未收到心跳,会触发新一轮选举。
- 旧Leader退让:当网络恢复后,旧Leader(处于少数派分区)若收到新Leader(更高任期)的心跳,会立即退化为Follower,并同步新Leader的数据。
日志提交的严格条件
- 日志提交规则:Leader必须在日志条目被复制到多数节点后,才会提交该条目并应用到状态机。若Leader处于少数派分区,其发起的写操作因无法获得多数确认而处于未提交状态,最终被丢弃。
- 数据一致性保障:只有多数派分区的Leader能成功提交日志,而少数派分区的旧Leader无法提交数据,因此不会出现数据冲突。
网络分区恢复后的日志同步
- 强制同步高任期日志:恢复通信后,高任期Leader会将自己的日志同步给所有Follower,覆盖低任期分区的未提交或冲突日志。
- Follower日志回滚:若Follower的日志与Leader冲突(如任期较低),会删除冲突部分并接受Leader的日志。
配置变更的联合共识机制
- 避免扩缩容引发脑裂:在动态调整集群节点数量时,Raft使用“联合共识”(Joint Consensus)模式,确保新旧配置的多数派重叠,防止因节点变更导致分裂。
- 分阶段提交配置变更:配置变更需先提交包含新旧配置的日志条目,确保所有节点达成一致后才生效,避免临时性脑裂。
脑裂场景下的具体处理示例
假设一个5节点集群分裂为两个分区(A分区3节点,B分区2节点):
- A分区:能选出新Leader(需要3票中的2票),正常处理客户端请求并提交日志。
- B分区:旧Leader无法获得多数确认,所有写操作均未提交,客户端请求失败。
- 网络恢复后:B分区的旧Leader发现A分区的新Leader任期更高,自动退化为Follower并同步日志,保证数据一致性。
Redis 过期删除与内存淘汰
Redis 使用的过期删除策略是什么?
Redis 是可以对 key 设置过期时间的,因此需要有相应的机制将已过期的键值对删除,而做这个工作的就是过期键值删除策略。
每当我们对一个 key 设置了过期时间时,Redis 会把该 key 带上过期时间存储到一个过期字典(expires dict)中,也就是说「过期字典」保存了数据库中所有 key 的过期时间。
当我们查询一个 key 时,Redis 首先检查该 key 是否存在于过期字典中:
- 如果不在,则正常读取键值;
- 如果存在,则会获取该 key 的过期时间,然后与当前系统时间进行比对,如果比系统时间大,那就没有过期,否则判定该 key 已过期。
Redis 使用的过期删除策略是「惰性删除+定期删除」这两种策略配和使用。
什么是惰性删除策略?
惰性删除策略的做法是,不主动删除过期键,每次从数据库访问 key 时,都检测 key 是否过期,如果过期则删除该 key。
惰性删除策略的优点:
- 因为每次访问时,才会检查 key 是否过期,所以此策略只会使用很少的系统资源,因此,惰性删除策略对 CPU 时间最友好。
惰性删除策略的缺点:
- 如果一个 key 已经过期,而这个 key 又仍然保留在数据库中,那么只要这个过期 key 一直没有被访问,它所占用的内存就不会释放,造成了一定的内存空间浪费。所以,惰性删除策略对内存不友好。
什么是定期删除策略?
定期删除策略的做法是,每隔一段时间「随机」从数据库中取出一定数量的 key 进行检查,并删除其中的过期key。
redis 的定期删除的流程:
- 从过期字典中随机抽取 20 个 key;
- 检查这 20 个 key 是否过期,并删除已过期的 key;
- 如果本轮检查的已过期 key 的数量,超过 5 个(20/4),也就是「已过期 key 的数量」占比「随机抽取 key 的数量」大于 25%,则继续重复步骤 1;如果已过期的 key 比例小于 25%,则停止继续删除过期 key,然后等待下一轮再检查。
可以看到,定期删除是一个循环的流程。那 Redis 为了保证定期删除不会出现循环过度,导致线程卡死现象,为此增加了定期删除循环流程的时间上限,默认不会超过 25ms。
定期删除策略的优点:
- 通过限制删除操作执行的时长和频率,来减少删除操作对 CPU 的影响,同时也能删除一部分过期的数据减少了过期键对空间的无效占用。
定期删除策略的缺点:
- 难以确定删除操作执行的时长和频率。如果执行的太频繁,就会对 CPU 不友好;如果执行的太少,那又和惰性删除一样了,过期 key 占用的内存不会及时得到释放。
可以看到,惰性删除策略和定期删除策略都有各自的优点,所以 Redis 选择「惰性删除+定期删除」这两种策略配和使用,以求在合理使用 CPU 时间和避免内存浪费之间取得平衡。
Redis 持久化时,对过期键会如何处理的?
- RDB 文件生成阶段:从内存状态持久化成 RDB(文件)的时候,会对 key 进行过期检查,过期的键「不会」被保存到新的 RDB 文件中,因此 Redis 中的过期键不会对生成新 RDB 文件产生任何影响。
- RDB 加载阶段:RDB 加载阶段时,要看服务器是主服务器还是从服务器,分别对应以下两种情况:
- 如果 Redis 是「主服务器」运行模式的话,在载入 RDB 文件时,程序会对文件中保存的键进行检查,过期键「不会」被载入到数据库中。所以过期键不会对载入 RDB 文件的主服务器造成影响;
- 如果 Redis 是「从服务器」运行模式的话,在载入 RDB 文件时,不论键是否过期都会被载入到数据库中。但由于主从服务器在进行数据同步时,从服务器的数据会被清空。所以一般来说,过期键对载入 RDB 文件的从服务器也不会造成影响。
AOF 文件分为两个阶段,AOF 文件写入阶段和 AOF 重写阶段。
- AOF 文件写入阶段:当 Redis 以 AOF 模式持久化时,如果数据库某个过期键还没被删除,那么 AOF 文件会保留此过期键,当此过期键被删除后,Redis 会向 AOF 文件追加一条 DEL 命令来显式地删除该键值。
- AOF 重写阶段:执行 AOF 重写时,会对 Redis 中的键值对进行检查,已过期的键不会被保存到重写后的 AOF 文件中,因此不会对 AOF 重写造成任何影响。
Redis 主从模式中,对过期键会如何处理?
当 Redis 运行在主从模式下时,从库不会进行过期扫描,从库对过期的处理是被动的。也就是即使从库中的 key 过期了,如果有客户端访问从库时,依然可以得到 key 对应的值,像未过期的键值对一样返回。
从库的过期键处理依靠主服务器控制,主库在 key 到期时,会在 AOF 文件里增加一条 del 指令,同步到所有的从库,从库通过执行这条 del 指令来删除过期的 key。
Redis 内存满了,会发生什么?
在 Redis 的运行内存达到了某个阀值,就会触发内存淘汰机制,这个阀值就是我们设置的最大运行内存,此值在 Redis 的配置文件中可以找到,配置项为 maxmemory。
Redis 内存淘汰策略有哪些?
Redis 内存淘汰策略共有八种,这八种策略大体分为「不进行数据淘汰」和「进行数据淘汰」两类策略。
1、不进行数据淘汰的策略
noeviction(Redis3.0之后,默认的内存淘汰策略) :它表示当运行内存超过最大设置内存时,不淘汰任何数据,而是不再提供服务,直接返回错误。
2、进行数据淘汰的策略
针对「进行数据淘汰」这一类策略,又可以细分为「在设置了过期时间的数据中进行淘汰」和「在所有数据范围内进行淘汰」这两类策略。 在设置了过期时间的数据中进行淘汰:
- volatile-random:随机淘汰设置了过期时间的任意键值;
- volatile-ttl:优先淘汰更早过期的键值。
- volatile-lru(Redis3.0 之前,默认的内存淘汰策略):淘汰所有设置了过期时间的键值中,最久未使用的键值;
- volatile-lfu(Redis 4.0 后新增的内存淘汰策略):淘汰所有设置了过期时间的键值中,最少使用的键值;
在所有数据范围内进行淘汰:
- allkeys-random:随机淘汰任意键值;
- allkeys-lru:淘汰整个键值中最久未使用的键值;
- allkeys-lfu(Redis 4.0 后新增的内存淘汰策略):淘汰整个键值中最少使用的键值。
LRU 算法和 LFU 算法有什么区别?
LRU 全称是 Least Recently Used 翻译为最近最少使用,会选择淘汰最近最少使用的数据。
传统 LRU 算法的实现是基于「链表」结构,链表中的元素按照操作顺序从前往后排列,最新操作的键会被移动到表头,当需要内存淘汰时,只需要删除链表尾部的元素即可,因为链表尾部的元素就代表最久未被使用的元素。
Redis 并没有使用这样的方式实现 LRU 算法,因为传统的 LRU 算法存在两个问题:
- 需要用链表管理所有的缓存数据,这会带来额外的空间开销;
- 当有数据被访问时,需要在链表上把该数据移动到头端,如果有大量数据被访问,就会带来很多链表移动操作,会很耗时,进而会降低 Redis 缓存性能。
Redis 是如何实现 LRU 算法的?
Redis 实现的是一种近似 LRU 算法,目的是为了更好的节约内存,它的实现方式是在 Redis 的对象结构体中添加一个额外的字段,用于记录此数据的最后一次访问时间。
当 Redis 进行内存淘汰时,会使用随机采样的方式来淘汰数据,它是随机取 5 个值(此值可配置),然后淘汰最久没有使用的那个。
Redis 实现的 LRU 算法的优点:
- 不用为所有的数据维护一个大链表,节省了空间占用;
- 不用在每次数据访问时都移动链表项,提升了缓存的性能;
但是 LRU 算法有一个问题,无法解决缓存污染问题,比如应用一次读取了大量的数据,而这些数据只会被读取这一次,那么这些数据会留存在 Redis 缓存中很长一段时间,造成缓存污染。
因此,在 Redis 4.0 之后引入了 LFU 算法来解决这个问题。
什么是 LFU 算法?
LFU 全称是 Least Frequently Used 翻译为最近最不常用的,LFU 算法是根据数据访问次数来淘汰数据的,它的核心思想是“如果数据过去被访问多次,那么将来被访问的频率也更高”。
所以, LFU 算法会记录每个数据的访问次数。当一个数据被再次访问时,就会增加该数据的访问次数。这样就解决了偶尔被访问一次之后,数据留存在缓存中很长一段时间的问题,相比于 LRU 算法也更合理一些。
Redis 是如何实现 LFU 算法的?
LFU 算法相比于 LRU 算法的实现,多记录了「数据的访问频次」的信息。Redis 对象的结构如下:
1 | |
Redis 对象头中的 lru 字段,在 LRU 算法下和 LFU 算法下使用方式并不相同。
在 LRU 算法中,Redis 对象头的 24 bits 的 lru 字段是用来记录 key 的访问时间戳,因此在 LRU 模式下,Redis可以根据对象头中的 lru 字段记录的值,来比较最后一次 key 的访问时间长,从而淘汰最久未被使用的 key。
在 LFU 算法中,Redis对象头的 24 bits 的 lru 字段被分成两段来存储,高 16bit 存储 ldt(Last Decrement Time),用来记录 key 的访问时间戳;低 8bit 存储 logc(Logistic Counter),用来记录 key 的访问频次。
场景题
Redis 如何实现延迟队列?
延迟队列是指把当前要做的事情,往后推迟一段时间再做。延迟队列的常见使用场景有以下几种:
- 在淘宝、京东等购物平台上下单,超过一定时间未付款,订单会自动取消;
- 打车的时候,在规定时间没有车主接单,平台会取消你的单并提醒你暂时没有车主接单;
- 点外卖的时候,如果商家在10分钟还没接单,就会自动取消订单;
在 Redis 可以使用有序集合(ZSet)的方式来实现延迟消息队列的,ZSet 有一个 Score 属性可以用来存储延迟执行的时间。
使用 zadd score1 value1 命令就可以一直往内存中生产消息。再利用 zrangebysocre 查询符合条件的所有待处理的任务, 通过循环执行队列任务即可。

Redis 的大 key 如何处理?
什么是 Redis 大 key?
大 key 并不是指 key 的值很大,而是 key 对应的 value 很大。
一般而言,下面这两种情况被称为大 key:
- String 类型的值大于 10 KB;
- Hash、List、Set、ZSet 类型的元素的个数超过 5000个;
大 key 会造成什么问题?
- 客户端超时阻塞。由于 Redis 执行命令是单线程处理,然后在操作大 key 时会比较耗时,那么就会阻塞 Redis,从客户端这一视角看,就是很久很久都没有响应。
- 引发网络阻塞。每次获取大 key 产生的网络流量较大,如果一个 key 的大小是 1 MB,每秒访问量为 1000,那么每秒会产生 1000MB 的流量,这对于普通千兆网卡的服务器来说是灾难性的。
- 阻塞工作线程。如果使用 del 删除大 key 时,会阻塞工作线程,这样就没办法处理后续的命令。
- 内存分布不均。集群模型在 slot 分片均匀情况下,会出现数据和查询倾斜情况,部分有大 key 的 Redis 节点占用内存多,QPS 也会比较大。
如何找到大 key ?
1. redis-cli —bigkeys 查找大key
- 最好选择在从节点上执行该命令。因为主节点上执行时,会阻塞主节点;
- 如果没有从节点,那么可以选择在 Redis 实例业务压力的低峰阶段进行扫描查询,以免影响到实例的正常运行;或者可以使用 -i 参数控制扫描间隔,避免长时间扫描降低 Redis 实例的性能。
- 这个方法只能返回每种类型中最大的那个 bigkey,无法得到大小排在前 N 位的 bigkey;
- 对于集合类型来说,这个方法只统计集合元素个数的多少,而不是实际占用的内存量。但是,一个集合中的元素个数多,并不一定占用的内存就多。因为,有可能每个元素占用的内存很小,这样的话,即使元素个数有很多,总内存开销也不大;
2. 使用 SCAN 命令查找大 key
使用 SCAN 命令对数据库扫描,然后用 TYPE 命令获取返回的每一个 key 的类型。
对于 String 类型,可以直接使用 STRLEN 命令获取字符串的长度,也就是占用的内存空间字节数。
对于集合类型来说,有两种方法可以获得它占用的内存大小:
- 如果能够预先从业务层知道集合元素的平均大小,那么,可以使用下面的命令获取集合元素的个数,然后乘以集合元素的平均大小,这样就能获得集合占用的内存大小了。List 类型:
LLEN命令;Hash 类型:HLEN命令;Set 类型:SCARD命令;Sorted Set 类型:ZCARD命令; - 如果不能提前知道写入集合的元素大小,可以使用
MEMORY USAGE命令(需要 Redis 4.0 及以上版本),查询一个键值对占用的内存空间。
3. 使用 RdbTools 工具查找大 key
使用 RdbTools 第三方开源工具,可以用来解析 Redis 快照(RDB)文件,找到其中的大 key。
比如,下面这条命令,将大于 10 kb 的 key 输出到一个表格文件。
1 | |
如何删除大 key?
1、分批次删除
2、异步删除
从 Redis 4.0 版本开始,可以采用异步删除法,用 unlink 命令代替 del 来删除。
Redis 事务支持回滚吗?
MySQL 在执行事务时,会提供回滚机制,当事务执行发生错误时,事务中的所有操作都会撤销,已经修改的数据也会被恢复到事务执行前的状态。
Redis 中并没有提供回滚机制,虽然 Redis 提供了 DISCARD 命令,但是这个命令只能用来主动放弃事务执行,把暂存的命令队列清空,起不到回滚的效果。
事务执行过程中,如果命令入队时没报错,而事务提交后,实际执行时报错了,正确的命令依然可以正常执行,所以这可以看出 Redis 并不一定保证原子性(原子性:事务中的命令要不全部成功,要不全部失败)。
为什么Redis 不支持事务回滚?
- 他认为 Redis 事务的执行时,错误通常都是编程错误造成的,这种错误通常只会出现在开发环境中,而很少会在实际的生产环境中出现,所以他认为没有必要为 Redis 开发事务回滚功能;
- 不支持事务回滚是因为这种复杂的功能和 Redis 追求的简单高效的设计主旨不符合。
这里不支持事务回滚,指的是不支持事务运行时错误的事务回滚。
基于 Redis 实现分布式锁有什么优缺点?
基于 Redis 实现分布式锁的优点:
- 性能高效(这是选择缓存实现分布式锁最核心的出发点)。
- 实现方便。很多研发工程师选择使用 Redis 来实现分布式锁,很大成分上是因为 Redis 提供了 setnx 方法,实现分布式锁很方便。
- 避免单点故障(因为 Redis 是跨集群部署的,自然就避免了单点故障)。
基于 Redis 实现分布式锁的缺点:
超时时间不好设置
。如果锁的超时时间设置过长,会影响性能,如果设置的超时时间过短会保护不到共享资源。比如在有些场景中,一个线程 A 获取到了锁之后,由于业务代码执行时间可能比较长,导致超过了锁的超时时间,自动失效,注意 A 线程没执行完,后续线程 B 又意外的持有了锁,意味着可以操作共享资源,那么两个线程之间的共享资源就没办法进行保护了。
- 那么如何合理设置超时时间呢? 我们可以基于续约的方式设置超时时间:先给锁设置一个超时时间,然后启动一个守护线程,让守护线程在一段时间后,重新设置这个锁的超时时间。实现方式就是:写一个守护线程,然后去判断锁的情况,当锁快失效的时候,再次进行续约加锁,当主线程执行完成后,销毁续约锁即可,不过这种方式实现起来相对复杂。
Redis 主从复制模式中的数据是异步复制的,这样导致分布式锁的不可靠性。如果在 Redis 主节点获取到锁后,在没有同步到其他节点时,Redis 主节点宕机了,此时新的 Redis 主节点依然可以获取锁,所以多个应用服务就可以同时获取到锁。
Redis 如何解决集群情况下分布式锁的可靠性?
为了保证集群环境下分布式锁的可靠性,Redis 官方已经设计了一个分布式锁算法 Redlock(红锁)。
它是基于多个 Redis 节点的分布式锁,即使有节点发生了故障,锁变量仍然是存在的,客户端还是可以完成锁操作。官方推荐是至少部署 5 个 Redis 节点,而且都是主节点,它们之间没有任何关系,都是一个个孤立的节点。
Redlock 算法的基本思路,是让客户端和多个独立的 Redis 节点依次请求申请加锁,如果客户端能够和半数以上的节点成功地完成加锁操作,那么我们就认为,客户端成功地获得分布式锁,否则加锁失败。
这样一来,即使有某个 Redis 节点发生故障,因为锁的数据在其他节点上也有保存,所以客户端仍然可以正常地进行锁操作,锁的数据也不会丢失。
Redlock 算法加锁三个过程:
- 第一步是,客户端获取当前时间(t1)。
- 第二步是,客户端按顺序依次向 N 个 Redis 节点执行加锁操作:
- 加锁操作使用 SET 命令,带上 NX,EX/PX 选项,以及带上客户端的唯一标识。
- 如果某个 Redis 节点发生故障了,为了保证在这种情况下,Redlock 算法能够继续运行,我们需要给「加锁操作」设置一个超时时间(不是对「锁」设置超时时间,而是对「加锁操作」设置超时时间),加锁操作的超时时间需要远远地小于锁的过期时间,一般也就是设置为几十毫秒。
- 第三步是,一旦客户端从超过半数(大于等于 N/2+1)的 Redis 节点上成功获取到了锁,就再次获取当前时间(t2),然后计算计算整个加锁过程的总耗时(t2-t1)。如果 t2-t1 < 锁的过期时间,此时,认为客户端加锁成功,否则认为加锁失败。
可以看到,加锁成功要同时满足两个条件(简述:如果有超过半数的 Redis 节点成功的获取到了锁,并且总耗时没有超过锁的有效时间,那么就是加锁成功):
- 条件一:客户端从超过半数(大于等于 N/2+1)的 Redis 节点上成功获取到了锁;
- 条件二:客户端从大多数节点获取锁的总耗时(t2-t1)小于锁设置的过期时间。
加锁成功后,客户端需要重新计算这把锁的有效时间,计算的结果是「锁最初设置的过期时间」减去「客户端从大多数节点获取锁的总耗时(t2-t1)」。如果计算的结果已经来不及完成共享数据的操作了,我们可以释放锁,以免出现还没完成数据操作,锁就过期了的情况。
加锁失败后,客户端向所有 Redis 节点发起释放锁的操作,释放锁的操作和在单节点上释放锁的操作一样,只要执行释放锁的 Lua 脚本就可以了。
什么是热key?
通常以其接收到的Key被请求频率来判定,例如:
- QPS集中在特定的Key:Redis实例的总QPS(每秒查询率)为10,000,而其中一个Key的每秒访问量达到了7,000。
- 带宽使用率集中在特定的Key:对一个拥有上千个成员且总大小为1 MB的HASH Key每秒发送大量的HGETALL操作请求。
- CPU使用时间占比集中在特定的Key:对一个拥有数万个成员的Key(ZSET类型)每秒发送大量的ZRANGE操作请求。
如何解决热key问题?
- 在Redis集群架构中对热Key进行复制。在Redis集群架构中,由于热Key的迁移粒度问题,无法将请求分散至其他数据分片,导致单个数据分片的压力无法下降。此时,可以将对应热Key进行复制并迁移至其他数据分片,例如将热Key foo复制出3个内容完全一样的Key并名为foo2、foo3、foo4,将这三个Key迁移到其他数据分片来解决单个数据分片的热Key压力。
- 使用读写分离架构。如果热Key的产生来自于读请求,您可以将实例改造成读写分离架构来降低每个数据分片的读请求压力,甚至可以不断地增加从节点。但是读写分离架构在增加业务代码复杂度的同时,也会增加Redis集群架构复杂度。不仅要为多个从节点提供转发层(如Proxy,LVS等)来实现负载均衡,还要考虑从节点数量显著增加后带来故障率增加的问题。Redis集群架构变更会为监控、运维、故障处理带来了更大的挑战。
- 拆分为多个 key,用本地缓存兜底
Java
动态代理
JDK 动态代理(需要实现接口)
1 | |
运行结果
1 | |
CGLIB 代理(不需要实现接口)
导入包:
1 | |
1 | |
结果:
1 | |
CGLIB 使用 FastClass 机制 直接通过索引访问方法,避免反射调用,提升性能。
生成含参构造函数代理
1 | |
| 特性 | CGLIB | JDK 动态代理 |
|---|---|---|
| 代理对象类型 | 目标类的子类 | 接口实现类 |
| 依赖条件 | 目标类不能为 final |
目标类需实现接口 |
| 性能 | 高(FastClass 优化) | 较低(反射调用) |
| 适用场景 | 无接口的类、AOP 框架底层实现 | Spring 默认代理(接口优先) |
Spring 默认优先使用 JDK 代理,若目标类无接口则自动切换为 CGLIB。
Spring
Spring的事务什么情况下会失效?
Spring Boot通过Spring框架的事务管理模块来支持事务操作。事务管理在Spring Boot中通常是通过 @Transactional 注解来实现的。事务可能会失效的一些常见情况包括:
- 未捕获异常: 如果一个事务方法中发生了未捕获的异常,并且异常未被处理或传播到事务边界之外,那么事务会失效,所有的数据库操作会回滚。
- 非受检异常: 默认情况下,Spring对非受检异常(RuntimeException或其子类)进行回滚处理,这意味着当事务方法中抛出这些异常时,事务会回滚。
- 事务传播属性设置不当: 如果在多个事务之间存在事务嵌套,且事务传播属性配置不正确,可能导致事务失效。特别是在方法内部调用有 @Transactional 注解的方法时要特别注意。
- 多数据源的事务管理: 如果在使用多数据源时,事务管理没有正确配置或者存在多个 @Transactional 注解时,可能会导致事务失效。
- 跨方法调用事务问题: 如果一个事务方法内部调用另一个方法,而这个被调用的方法没有 @Transactional 注解,这种情况下外层事务可能会失效。
- 事务在非公开方法中失效: 如果 @Transactional 注解标注在私有方法上或者非 public 方法上,事务也会失效。
Spring的事务,使用this调用是否生效?
不能生效。
因为Spring事务是通过代理对象来控制的,只有通过代理对象的方法调用才会应用事务管理的相关规则。当使用this直接调用时,是绕过了Spring的代理机制,因此不会应用事务设置。
Bean是否单例?
Spring 中的 Bean 默认都是单例的。
就是说,每个Bean的实例只会被创建一次,并且会被存储在Spring容器的缓存中,以便在后续的请求中重复使用。这种单例模式可以提高应用程序的性能和内存效率。
但是,Spring也支持将Bean设置为多例模式,即每次请求都会创建一个新的Bean实例。要将Bean设置为多例模式,可以在Bean定义中通过设置scope属性为”prototype”来实现。
需要注意的是,虽然Spring的默认行为是将Bean设置为单例模式,但在一些情况下,使用多例模式是更为合适的,例如在创建状态不可变的Bean或有状态Bean时。此外,需要注意的是,如果Bean单例是有状态的,那么在使用时需要考虑线程安全性问题。
Bean的单例和非单例,生命周期是否一样
不一样的,Spring Bean 的生命周期完全由 IoC 容器控制。Spring 只帮我们管理单例模式 Bean 的完整生命周期,对于 prototype 的 Bean,Spring 在创建好交给使用者之后,则不会再管理后续的生命周期。
具体区别如下:
| 阶段 | 单例(Singleton) | 非单例(如Prototype) |
|---|---|---|
| 创建时机 | 容器启动时创建(或首次请求时,取决于配置)。 | 每次请求时创建新实例。 |
| 初始化流程 | 完整执行生命周期流程(属性注入、Aware接口、初始化方法等)。 | 每次创建新实例时都会完整执行生命周期流程(仅到初始化完成)。 |
| 销毁时机 | 容器关闭时销毁,触发DisposableBean或destroy-method。 |
容器不管理销毁,需由调用者自行释放资源(Spring不跟踪实例)。 |
| 内存占用 | 单实例常驻内存,高效但需注意线程安全。 | 每次请求生成新实例,内存开销较大,需手动管理资源释放。 |
| 适用场景 | 无状态服务(如Service、DAO层)。 | 有状态对象(如用户会话、临时计算对象)。 |
Bean注入和xml注入最终得到了相同的效果,它们在底层是怎样做的
在Spring框架中,基于注解的Bean注入(如@Autowired、@Resource)和基于XML的依赖注入虽然在配置方式上不同,但在底层最终都通过Spring容器的统一机制实现依赖注入。它们的核心流程可以归纳为以下步骤:
| 阶段 | 注解注入 | XML注入 |
|---|---|---|
| 配置解析 | 通过注解处理器扫描类路径,解析@Component、@Autowired等注解。 |
解析XML文件中的<bean>、<property>、<constructor-arg>标签。 |
| 生成BeanDefinition | 将注解信息转换为AnnotatedBeanDefinition。 |
将XML配置转换为GenericBeanDefinition。 |
| 依赖注入 | 由AutowiredAnnotationBeanPostProcessor等后处理器处理。 |
在BeanDefinition中直接记录属性或构造器参数,由容器直接注入。 |
| 最终结果 | 生成完整的Bean实例,完成依赖注入。 | 生成完整的Bean实例,完成依赖注入。 |
XML 注入
使用 XML 文件进行 Bean 注入时,Spring 在启动时会读取 XML 配置文件,以下是其底层步骤:
Bean 定义解析:Spring 容器通过
XmlBeanDefinitionReader类解析 XML 配置文件,读取其中的<bean>标签以获取 Bean 的定义信息。注册 Bean 定义:解析后的 Bean 信息被注册到
BeanDefinitionRegistry(如DefaultListableBeanFactory)中,包括 Bean 的类、作用域、依赖关系、初始化和销毁方法等。实例化和依赖注入
:当应用程序请求某个 Bean 时,Spring 容器会根据已经注册的 Bean 定义:
- 首先,使用反射机制创建该 Bean 的实例。
- 然后,根据 Bean 定义中的配置,通过 setter 方法、构造函数或方法注入所需的依赖 Bean。
注解注入
使用注解进行 Bean 注入时,Spring 的处理过程如下:
- 类路径扫描:当 Spring 容器启动时,它首先会进行类路径扫描,查找带有特定注解(如
@Component、@Service、@Repository和@Controller)的类。 - 注册 Bean 定义:找到的类会被注册到
BeanDefinitionRegistry中,Spring 容器将为其生成 Bean 定义信息。这通常通过AnnotatedBeanDefinitionReader类来实现。 - 依赖注入:与 XML 注入类似,Spring 在实例化 Bean 时,也会检查字段上是否有
@Autowired、@Inject或@Resource注解。如果有,Spring 会根据注解的信息进行依赖注入。
尽管使用的方式不同,但 XML 注入和注解注入在底层的实现机制是相似的,主要体现在以下几个方面:
- BeanDefinition:无论是 XML 还是注解,最终都会生成
BeanDefinition对象,并存储在同一个BeanDefinitionRegistry中。 - 后处理器:
- Spring 提供了多个 Bean 后处理器(如
AutowiredAnnotationBeanPostProcessor),用于处理注解(如@Autowired)的依赖注入。 - 对于 XML,Spring 也有相应的后处理器来处理 XML 配置的依赖注入。
- Spring 提供了多个 Bean 后处理器(如
- 依赖查找:在依赖注入时,Spring 容器会通过
ApplicationContext中的 BeanFactory 方法来查找和注入依赖,无论是通过 XML 还是注解,都会调用类似的查找方法。
Spring给我们提供了很多扩展点,这些有了解吗?
Spring框架提供了许多扩展点,使得开发者可以根据需求定制和扩展Spring的功能。以下是一些常用的扩展点:
- BeanFactoryPostProcessor:允许在Spring容器实例化bean之前修改bean的定义。常用于修改bean属性或改变bean的作用域。
- BeanPostProcessor:可以在bean实例化、配置以及初始化之后对其进行额外处理。常用于代理bean、修改bean属性等。
- PropertySource:用于定义不同的属性源,如文件、数据库等,以便在Spring应用中使用。
- ImportSelector和ImportBeanDefinitionRegistrar:用于根据条件动态注册bean定义,实现配置类的模块化。
- Spring MVC中的HandlerInterceptor:用于拦截处理请求,可以在请求处理前、处理中和处理后执行特定逻辑。
- Spring MVC中的ControllerAdvice:用于全局处理控制器的异常、数据绑定和数据校验。
- Spring Boot的自动配置:通过创建自定义的自动配置类,可以实现对框架和第三方库的自动配置。
- 自定义注解:创建自定义注解,用于实现特定功能或约定,如权限控制、日志记录等。
Go
Go 的基础
Go 的特点
- 语法简单
- 轻量级线程、通道、高效并发
- 内置垃圾回收
Go 和 Java 对比
- Java使用广泛,但是Go比Java更适合高并发和轻量级的应用
- Java通过线程和锁来处理并发,Go routines 和 channels 是Go语言的并发特性的核心
- Java是一门功能丰富、面向对象的语言,支持面向对象编程、泛型等高级特性。Go语言的设计注重简洁和清晰,具有简单的语法和类型系统。它摒弃了一些复杂的特性,强调代码的可读性。
- Go语言具有垃圾回收机制,开发者无需手动管理内存。Java同样拥有垃圾回收机制,这减轻了开发者的负担,但在一些情况下可能引入一些不可控的暂停。\
- Go适用于构建高性能、高并发的后端服务、网络应用、云服务以及分布式系统。Java广泛应用于大型企业应用、Android应用、大规模分布式系统和企业级应用。
Go 中 make 和 new 的区别?
共同点:给变量分配内存
不同点:
- 作用变量类型不同,new 给 string,int 和数组分配内存,make 给切片,map,channel 分配内存;
- 返回类型不一样,new返回指向变量的指针,make返回变量本身;
- new 分配的空间被清零。make 分配空间后,会进行初始化;
| 关键字 | 适用类型 | 返回值 | 分配位置(取决于逃逸分析) |
|---|---|---|---|
new |
任何类型 | 指针 | 栈(未逃逸)或堆(逃逸) |
make |
切片、映射、通道 | 引用类型 | 元数据可能在栈,底层数据通常在堆(因规模或生命周期) |
Go for range 中临时变量 v 的地址是否变化?
Go 1.22 之前
临时变量 v 的地址不变:每次迭代时,v 会被 复用同一个内存地址,仅将元素的值复制到该地址中。
1 | |
后果:若在循环中将 &v 保存到切片或映射中,所有指针最终会指向 最后一个元素的值。
解决方法:
显式创建局部变量:
1 | |
直接使用索引:
1 | |
Go 1.22 之后
临时变量 v 的地址会变:每次迭代时,v 会被分配到 新的内存地址,避免指针复用问题。
1 | |
defer的执行顺序
多个defer出现的时候,它是一个“栈”的关系,也就是先进后出。一个函数中,写在前面的defer会比写在后面的defer调用的晚。
defer与return谁先谁后
defer,return,return value(函数返回值) 执行顺序:首先return,其次return value,最后defer。
函数的返回值初始化
1 | |
有名函数返回值遇见defer情况
1 | |
defer下的函数参数包含子函数
1 | |
结果:
1 | |
defer 的一些计算
1 | |
第四个的情况:
- 初始化返回值t为零值 0
- 首先执行defer的第一步,赋值defer中的func入参t为0
- 执行defer的第二步,将defer压栈
- 将t赋值为1
- 执行return语句,将返回值t赋值为2
- 执行defer的第三步,出栈并执行
因为在入栈时defer执行的func的入参已经赋值了,此时它作为的是一个形式参数,所以打印为0;相对应的因为最后已经将t的值修改为2,所以再打印一个2
rune 类型
相当 int32。
golang中的字符串底层实现是通过 byte 数组的,中文字符在 unicode 下占 2 个字节,在 utf-8 编码下占 3 个字节,而 golang 默认编码正好是 utf-8
byte 等同于 int8,常用来处理 ascii 字符
rune 等同于 int32,常用来处理 unicode 或 utf-8 字符
golang 中解析 tag 是怎么实现的?反射原理是什么?
1 | |
输出:json:name-field
由反射可直接得到结构域,调用结构域中的Tag即可获取到tag进行处理。
gorm json yaml gRPC protobuf gin.Bind()都是通过反射来实现的
goroutine什么情况下会阻塞
- 由于原子、互斥量或通道操作调用导致 Goroutine 阻塞,调度器将把当前阻塞的 Goroutine 切换出去,重新调度 LRQ 上的其他 Goroutine;
- 由于网络请求和 IO 操作导致 Goroutine 阻塞。Go 程序提供了网络轮询器(NetPoller)来处理网络请求和 IO 操作的问题,其后台通过 kqueue(MacOS),epoll(Linux)或 iocp(Windows)来实现 IO 多路复用。通过使用 NetPoller 进行网络系统调用,调度器可以防止 Goroutine 在进行这些系统调用时阻塞 M。这可以让 M 执行 P 的 LRQ 中其他的 Goroutines,而不需要创建新的 M。执行网络系统调用不需要额外的 M,网络轮询器使用系统线程,它时刻处理一个有效的事件循环,有助于减少操作系统上的调度负载。用户层眼中看到的 Goroutine 中的“block socket”,实现了 goroutine-per-connection 简单的网络编程模式。实际上是通过 Go runtime 中的 netpoller 通过 Non-block socket + I/O 多路复用机制“模拟”出来的。
- 当调用一些系统方法的时候(如文件 I/O),如果系统方法调用的时候发生阻塞,这种情况下,网络轮询器(NetPoller)无法使用,而进行系统调用的 G1 将阻塞当前 M1。调度器引入 其它M 来服务 M1 的 P。
- 如果在 Goroutine 去执行一个 sleep 操作,导致 M 被阻塞了。Go 程序后台有一个监控线程 sysmon,它监控那些长时间运行的 G 任务然后设置可以强占的标识符,别的 Goroutine 就可以抢先进来执行。
select 语句
go 的 select 为 golang 提供了多路 IO 复用机制,和其他 IO 复用一样,用于检测是否有读写事件是否 ready。linux 的系统 IO 模型有 select,poll,epoll,go 的 select 和 linux 系统 select 非常相似。
用于实现停机
1 | |
结合 context 实现停机
1 | |
Context 除支持直接取消外,还支持超时取消 (WithDeadline,WithTimeout)。
优雅停机
优雅停机的思路一般都较为类似:先改状态为停机,接收函数停止接收任务,等待任务队列排空后退出进程。
Java 应用优雅停机一般只需做前 2 步即可,第 3 步通常利用线程池完成(shutdown,awaitTermination)。
上文提到,Go 并没有线程池概念,但利用 WaitGroup 实现优雅停机非常简单,见如下代码:
- 接收任务时,先检查 stop channnel 是否关闭,如果关闭则拒绝任务,反之WaitGroup 加 1 并新建 goroutine 执行任务,执行完成后,WaitGroup 减 1。
- 停机时,关闭 stop channel,随后调用 WaitGroup Wait 等待所有任务完成。
1 | |
1)select 操作至少要有一个 case 语句,出现读写 nil 的 channel 该分支会忽略,在 nil 的 channel 上操作则会报错。
2)select 仅支持管道,而且是单协程操作。
3)每个 case 语句仅能处理一个管道,要么读要么写。
4)多个 case 语句的执行顺序是随机的。
5)存在 default 语句,select 将不会阻塞,但是存在 default 会影响性能。
Go 的 defer 底层数据结构和一些特性?
每个 defer 语句都对应一个 _defer 实例,多个实例使用指针连接起来形成一个单链表,保存在 gotoutine 数据结构中,每次插入_defer 实例,均插入到链表的头部,函数结束再一次从头部取出,从而形成后进先出的效果。
defer 的规则总结:
- 延迟函数的参数是 defer 语句出现的时候就已经确定了的。
- 延迟函数执行按照后进先出的顺序执行,即先出现的 defer 最后执行。
- 延迟函数可能操作主函数的返回值。
- 申请资源后立即使用 defer 关闭资源是个好习惯。
Go string 和 []byte 的区别
- string 不可变、[]byte 可变
- string 底层是只读字符序列,[]byte 是动态字节数组
消息队列
如何保证幂等写?
幂等性是指 同一操作的多次执行对系统状态的影响与一次执行结果一致。例如,支付接口若因网络重试被多次调用,最终应确保仅扣款一次。实现幂等写的核心方案:
唯一标识(幂等键):客户端为每个请求生成全局唯一ID(如 UUID、业务主键),服务端校验该ID是否已处理,适用场景接口调用、消息消费等。
所谓请求序列号,其实就是每次向服务端请求时候附带一个短时间内唯一不重复的序列号,该序列号可以是一个有序 ID,也可以是一个订单号,一般由下游生成,在调用上游服务端接口时附加该序列号和用于认证的 ID。
当上游服务器收到请求信息后拿取该 序列号 和下游 认证ID 进行组合,形成用于操作 Redis 的 Key,然后到 Redis 中查询是否存在对应的 Key 的键值对,根据其结果:
- 如果存在,就说明已经对该下游的该序列号的请求进行了业务处理,这时可以直接响应重复请求的错误信息。
- 如果不存在,就以该 Key 作为 Redis 的键,以下游关键信息作为存储的值(例如下游商传递的一些业务逻辑信息),将该键值对存储到 Redis 中 ,然后再正常执行对应的业务逻辑即可。

- 数据库事务 + 乐观锁:通过版本号或状态字段控制并发更新,确保多次更新等同于单次操作,适用场景数据库记录更新(如余额扣减、订单状态变更)。
- 数据库乐观锁方案一般只能适用于执行“更新操作”的过程,我们可以提前在对应的数据表中多添加一个字段,充当当前数据的版本标识。这样每次对该数据库该表的这条数据执行更新时,都会将该版本标识作为一个条件,值为上次待更新数据中的版本标识的值。

数据库唯一约束:利用数据库唯一索引防止重复数据写入,适用场景数据插入场景(如订单创建)。
数据库唯一主键的实现主要是利用数据库中主键唯一约束的特性,一般来说唯一主键比较适用于“插入”时的幂等性,其能保证一张表中只能存在一条带该唯一主键的记录。
使用数据库唯一主键完成幂等性时需要注意的是,该主键一般来说并不是使用数据库中自增主键,而是使用分布式 ID 充当主键(可以参考 Java 中分布式 ID 的设计方案),这样才能能保证在分布式环境下 ID 的全局唯一性。

- 分布式锁:通过锁机制保证同一时刻仅有一个请求执行关键操作,适用场景高并发下的资源抢夺(如秒杀)。
- 消息去重:消息队列生产者为每条消息生成唯一的消息 ID,消费者在处理消息前,先检查该消息 ID 是否已经处理过,如果已经处理过则丢弃该消息。
消息队列使用场景有哪些?
- 解耦:可以在多个系统之间进行解耦,将原本通过网络之间的调用的方式改为使用MQ进行消息的异步通讯,只要该操作不是需要同步的,就可以改为使用MQ进行不同系统之间的联系,这样项目之间不会存在耦合,系统之间不会产生太大的影响,就算一个系统挂了,也只是消息挤压在MQ里面没人进行消费而已,不会对其他的系统产生影响。
- 异步:加入一个操作涉及到好几个步骤,这些步骤之间不需要同步完成,比如客户去创建了一个订单,还要去客户轨迹系统添加一条轨迹、去库存系统更新库存、去客户系统修改客户的状态等等。这样如果这个系统都直接进行调用,那么将会产生大量的时间,这样对于客户是无法接收的;并且像添加客户轨迹这种操作是不需要去同步操作的,如果使用MQ将客户创建订单时,将后面的轨迹、库存、状态等信息的更新全都放到MQ里面然后去异步操作,这样就可加快系统的访问速度,提供更好的客户体验。
- 削峰:一个系统访问流量有高峰时期,也有低峰时期,比如说,中午整点有一个抢购活动等等。比如系统平时流量并不高,一秒钟只有100多个并发请求,系统处理没有任何压力,一切风平浪静,到了某个抢购活动时间,系统并发访问了剧增,比如达到了每秒5000个并发请求,而我们的系统每秒只能处理2000个请求,那么由于流量太大,我们的系统、数据库可能就会崩溃。这时如果使用MQ进行流量削峰,将用户的大量消息直接放到MQ里面,然后我们的系统去按自己的最大消费能力去消费这些消息,就可以保证系统的稳定,只是可能要跟进业务逻辑,给用户返回特定页面或者稍后通过其他方式通知其结果
消息重复消费怎么解决?
生产端为了保证消息发送成功,可能会重复推送(直到收到成功ACK),会产生重复消息。但是一个成熟的MQ Server框架一般会想办法解决,避免存储重复消息(比如:空间换时间,存储已处理过的message_id),给生产端提供一个幂等性的发送消息接口。
但是消费端却无法根本解决这个问题,在高并发标准要求下,拉取消息+业务处理+提交消费位移需要做事务处理,另外消费端服务可能宕机,很可能会拉取到重复消息。
所以,只能业务端自己做控制,对于已经消费成功的消息,本地数据库表或Redis缓存业务标识,每次处理前先进行校验,保证幂等。
消息丢失怎么解决的消息丢失怎么解决的?
使用一个消息队列,其实就分为三大块:生产者、中间件、消费者,所以要保证消息就是保证三个环节都不能丢失数据。

- 消息生产阶段:生产者会不会丢消息,取决于生产者对于异常情况的处理是否合理。从消息被生产出来,然后提交给 MQ 的过程中,只要能正常收到 ( MQ 中间件) 的 ack 确认响应,就表示发送成功,所以只要处理好返回值和异常,如果返回异常则进行消息重发,那么这个阶段是不会出现消息丢失的。
- 消息存储阶段:Kafka 在使用时是部署一个集群,生产者在发布消息时,队列中间件通常会写「多个节点」,也就是有多个副本,这样一来,即便其中一个节点挂了,也能保证集群的数据不丢失。
- 消息消费阶段:消费者接收消息+消息处理之后,才回复 ack 的话,那么消息阶段的消息不会丢失。不能收到消息就回 ack,否则可能消息处理中途挂掉了,消息就丢失了。
消息队列的可靠性、顺序性怎么保证?
消息可靠性可以通过下面这些方式来保证
- 消息持久化:确保消息队列能够持久化消息是非常关键的。在系统崩溃、重启或者网络故障等情况下,未处理的消息不应丢失。例如,像 RabbitMQ 可以通过配置将消息持久化到磁盘,通过将队列和消息都设置为持久化的方式(设置
durable = true),这样在服务器重启后,消息依然可以被重新读取和处理。 - 消息确认机制:消费者在成功处理消息后,应该向消息队列发送确认(acknowledgment)。消息队列只有收到确认后,才会将消息从队列中移除。如果没有收到确认,消息队列可能会在一定时间后重新发送消息给其他消费者或者再次发送给同一个消费者。以 Kafka 为例,消费者通过
commitSync或者commitAsync方法来提交偏移量(offset),从而确认消息的消费。 - 消息重试策略:当消费者处理消息失败时,需要有合理的重试策略。可以设置重试次数和重试间隔时间。例如,在第一次处理失败后,等待一段时间(如 5 秒)后进行第二次重试,如果重试多次(如 3 次)后仍然失败,可以将消息发送到死信队列,以便后续人工排查或者采取其他特殊处理。
消息顺序性保证的方式如下:
- 有序消息处理场景识别:首先需要明确业务场景中哪些消息是需要保证顺序的。例如,在金融交易系统中,对于同用户的转账操作顺序是不能打乱的。对于需要顺序处理的消息,要确保消息队列和消费者能够按照特定的顺序进行处理。
- 消息队列对顺序性的支持:部分消息队列本身提供了顺序性保证的功能。比如 Kafka 可以通过将消息划分到同一个分区(Partition)来保证消息在分区内是有序的,消费者按照分区顺序读取消息就可以保证消息顺序。但这也可能会限制消息的并行处理程度,需要在顺序性和吞吐量之间进行权衡。
- 消费者顺序处理策略:消费者在处理顺序消息时,应该避免并发处理可能导致顺序打乱的情况。例如,可以通过单线程或者使用线程池并对顺序消息进行串行化处理等方式,确保消息按照正确的顺序被消费。
如何保证幂等写?
幂等性是指 同一操作的多次执行对系统状态的影响与一次执行结果一致。例如,支付接口若因网络重试被多次调用,最终应确保仅扣款一次。实现幂等写的核心方案:
- 唯一标识(幂等键):客户端为每个请求生成全局唯一ID(如 UUID、业务主键),服务端校验该ID是否已处理,适用场景接口调用、消息消费等。
- 数据库事务 + 乐观锁:通过版本号或状态字段控制并发更新,确保多次更新等同于单次操作,适用场景数据库记录更新(如余额扣减、订单状态变更)。
- 数据库唯一约束:利用数据库唯一索引防止重复数据写入,适用场景数据插入场景(如订单创建)。
- 分布式锁:通过锁机制保证同一时刻仅有一个请求执行关键操作,适用场景高并发下的资源抢夺(如秒杀)。
- 消息去重:消息队列生产者为每条消息生成唯一的消息 ID,消费者在处理消息前,先检查该消息 ID 是否已经处理过,如果已经处理过则丢弃该消息。
如何处理消息队列的消息积压问题?
消息积压是因为生产者的生产速度,大于消费者的消费速度。遇到消息积压问题时,我们需要先排查,是不是有bug产生了。
如果不是bug,我们可以优化一下消费的逻辑,比如之前是一条一条消息消费处理的话,我们可以确认是不是可以优为批量处理消息。如果还是慢,我们可以考虑水平扩容,增加Topic的队列数,和消费组机器的数量,提升整体消费能力。
如果是bug导致几百万消息持续积压几小时。有如何处理呢?需要解决bug,临时紧急扩容,大概思路如下:
- 先修复consumer消费者的问题,以确保其恢复消费速度,然后将现有consumer 都停掉。
- 新建一个 topic,partition 是原来的 10 倍,临时建立好原先10倍的queue 数量。
- 然后写一个临时的分发数据的 consumer 程序,这个程序部署上去消费积压的数据,消费之后不做耗时的处理,直接均匀轮询写入临时建立好的 10 倍数量的 queue。
- 接着临时征用 10 倍的机器来部署 consumer,每一批 consumer 消费一个临时 queue 的数据。这种做法相当于是临时将 queue 资源和 consumer 资源扩大 10 倍,以正常的 10 倍速度来消费数据。
- 等快速消费完积压数据之后,得恢复原先部署的架构,重新用原先的 consumer 机器来消费消息。
如何保证数据一致性,事务消息如何实现?
一条普通的MQ消息,从产生到被消费,大概流程如下:

- 生产者产生消息,发送带MQ服务器
- MQ收到消息后,将消息持久化到存储系统。
- MQ服务器返回ACk到生产者。
- MQ服务器把消息push给消费者
- 消费者消费完消息,响应ACK
- MQ服务器收到ACK,认为消息消费成功,即在存储中删除消息。
我们举个下订单的例子吧。订单系统创建完订单后,再发送消息给下游系统。如果订单创建成功,然后消息没有成功发送出去,下游系统就无法感知这个事情,出导致数据不一致。
如何保证数据一致性呢?可以使用事务消息。一起来看下事务消息是如何实现的吧。

- 生产者产生消息,发送一条半事务消息到MQ服务器
- MQ收到消息后,将消息持久化到存储系统,这条消息的状态是待发送状态。
- MQ服务器返回ACK确认到生产者,此时MQ不会触发消息推送事件
- 生产者执行本地事务
- 如果本地事务执行成功,即commit执行结果到MQ服务器;如果执行失败,发送rollback。
- 如果是正常的commit,MQ服务器更新消息状态为可发送;如果是rollback,即删除消息。
- 如果消息状态更新为可发送,则MQ服务器会push消息给消费者。消费者消费完就回ACK。
- 如果MQ服务器长时间没有收到生产者的commit或者rollback,它会反查生产者,然后根据查询到的结果执行最终状态。
消息队列是参考哪种设计模式?
是参考了观察者模式和发布订阅模式,两种设计模式思路是一样的,举个生活例子:
- 观察者模式:某公司给自己员工发月饼发粽子,是由公司的行政部门发送的,这件事不适合交给第三方,原因是“公司”和“员工”是一个整体
- 发布-订阅模式:某公司要给其他人发各种快递,因为“公司”和“其他人”是独立的,其唯一的桥梁是“快递”,所以这件事适合交给第三方快递公司解决
观察者模式
观察者模式实际上就是一个一对多的关系,在观察者模式中存在一个主题和多个观察者,主题也是被观察者,当我们主题发布消息时,会通知各个观察者,观察者将会收到最新消息,图解如下:每个观察者首先订阅主题,订阅成功后当主题发送消息时会循环整个观察者列表,逐一发送消息通知。 
发布订阅模式
发布订阅模式和观察者模式的区别就是发布者和订阅者完全解耦,通过中间的发布订阅中心进行消息通知,发布者并不知道自己发布的消息会通知给谁,因此发布订阅模式有三个重要角色,发布者->发布订阅中心->订阅者。
图解如下:当发布者发布消息到发布订阅中心后,发布订阅中心会将消息通知给所有订阅该发布者的订阅者 
让你写一个消息队列,该如何进行架构设计?
- 首先是消息队列的整体流程,producer发送消息给broker,broker存储好,broker再发送给consumer消费,consumer回复消费确认等。
- producer发送消息给broker,broker发消息给consumer消费,那就需要两次RPC了,RPC如何设计呢?可以参考开源框架Dubbo,你可以说说服务发现、序列化协议等等
- broker考虑如何持久化呢,是放文件系统还是数据库呢,会不会消息堆积呢,消息堆积如何处理呢。
- 消费关系如何保存呢?点对点还是广播方式呢?广播关系又是如何维护呢?zk还是config server
- 消息可靠性如何保证呢?如果消息重复了,如何幂等处理呢?
- 消息队列的高可用如何设计呢?可以参考Kafka的高可用保障机制。多副本 -> leader & follower -> broker 挂了重新选举 leader 即可对外服务。
- 消息事务特性,与本地业务同个事务,本地消息落库;消息投递到服务端,本地才删除;定时任务扫描本地消息库,补偿发送。
- MQ得伸缩性和可扩展性,如果消息积压或者资源不够时,如何支持快速扩容,提高吞吐?可以参照一下 Kafka 的设计理念,broker -> topic -> partition,每个 partition 放一个机器,就存一部分数据。如果现在资源不够了,简单啊,给 topic 增加 partition,然后做数据迁移,增加机器,不就可以存放更多数据,提供更高的吞吐量了。
RocketMQ和Kafka的区别是什么?如何做技术选型?
Kafka的优缺点:
- 优点:首先,Kafka的最大优势就在于它的高吞吐量,在普通机器4CPU8G的配置下,一台机器可以抗住十几万的QPS,这一点还是相当优越的。Kafka支持集群部署,如果部分机器宕机不可用,则不影响Kafka的正常使用。
- 缺点:Kafka有可能会造成数据丢失,因为它在收到消息的时候,并不是直接写到物理磁盘的,而是先写入到磁盘缓冲区里面的。Kafka功能比较的单一 主要的就是支持收发消息,高级功能基本没有,就会造成适用场景受限。
RocketMQ是阿里巴巴开源的消息中间件,优缺点
- 优点:支持功能比较多,比如延迟队列、消息事务等等,吞吐量也高,单机吞吐量达到 10 万级,支持大规模集群部署,线性扩展方便,Java语言开发,满足了国内绝大部分公司技术栈
- 缺点:性能相比 kafka 是弱一点,因为 kafka 用到了 sendfile 的零拷贝技术,而 RocketMQ 主要是用 mmap+write 来实现零拷贝。
该怎么选择呢?
- 如果我们业务只是收发消息这种单一类型的需求,而且可以允许小部分数据丢失的可能性,但是又要求极高的吞吐量和高性能的话,就直接选Kafka就行了,就好比我们公司想要收集和传输用户行为日志以及其他相关日志的处理,就选用的Kafka中间件。
- 如果公司的需要通过 mq 来实现一些业务需求,比如延迟队列、消息事务等,公司技术栈主要是Java语言的话,就直接一步到位选择RocketMQ,这样会省很多事情。
RocketMQ延时消息的底层原理
总体的原理示意图,如下所示:

broker 在接收到延时消息的时候,会将延时消息存入到延时Topic的队列中,然后ScheduleMessageService中,每个 queue 对应的定时任务会不停地被执行,检查 queue 中哪些消息已到设定时间,然后转发到消息的原始Topic,这些消息就会被各自的 producer 消费了。
RocketMQ消息顺序怎么保证?
消息的有序性是指消息的消费顺序能够严格保存与消息的发送顺序一致。例如,一个订单产生了3条消息,分别是订单创建、订单付款和订单完成。在消息消费时,同一条订单要严格按照这个顺序进行消费,否则业务会发生混乱。同时,不同订单之间的消息又是可以并发消费的,比如可以先执行第三个订单的付款,再执行第二个订单的创建。
RocketMQ采用了局部顺序一致性的机制,实现了单个队列中的消息严格有序。也就是说,如果想要保证顺序消费,必须将一组消息发送到同一个队列中,然后再由消费者进行注意消费。
RocketMQ推荐的顺序消费解决方案是:按照业务划分不同的队列,然后将需要顺序消费的消息发往同一队列中即可,不同业务之间的消息仍采用并发消费。这种方式在满足顺序消费的同时提高了消息的处理速度,在一定程度上避免了消息堆积问题
RocketMQ 顺序消息的原理是:
- 在 Producer(生产者) 把一批需要保证顺序的消息发送到同一个 MessageQueue
- Consumer(消费者) 则通过加锁的机制来保证消息消费的顺序性,Broker 端通过对 MessageQueue 进行加锁,保证同一个 MessageQueue 只能被同一个 Consumer 进行消费。
对Kafka有什么了解吗?
Kafka特点如下:
- 高吞吐量、低延迟:kafka每秒可以处理几十万条消息,它的延迟最低只有几毫秒,每个topic可以分多个partition, consumer group 对partition进行consume操作。
- 可扩展性:kafka集群支持热扩展
- 持久性、可靠性:消息被持久化到本地磁盘,并且支持数据备份防止数据丢失
- 容错性:允许集群中节点失败(若副本数量为n,则允许n-1个节点失败)
- 高并发:支持数千个客户端同时读写
Kafka 为什么这么快?
- 顺序写入优化:Kafka将消息顺序写入磁盘,减少了磁盘的寻道时间。这种方式比随机写入更高效,因为磁盘读写头在顺序写入时只需移动一次。
- 批量处理技术:Kafka支持批量发送消息,这意味着生产者在发送消息时可以等待直到有足够的数据积累到一定量,然后再发送。这种方法减少了网络开销和磁盘I/O操作的次数,从而提高了吞吐量。
- 零拷贝技术:Kafka使用零拷贝技术,可以直接将数据从磁盘发送到网络套接字,避免了在用户空间和内核空间之间的多次数据拷贝。这大幅降低了CPU和内存的负载,提高了数据传输效率。
- 压缩技术:Kafka支持对消息进行压缩,这不仅减少了网络传输的数据量,还提高了整体的吞吐量。
kafka的模型介绍一下,kafka是推送还是拉取?
消费者模型
消息由生产者发送到kafka集群后,会被消费者消费。一般来说我们的消费模型有两种:推送模型(psuh)和拉取模型(pull)。
推送模型(push)
- 基于推送模型(push)的消息系统,有消息代理记录消费者的消费状态。
- 消息代理在将消息推送到消费者后,标记这条消息已经消费,但这种方式无法很好地保证消费被处理。
- 如果要保证消息被处理,消息代理发送完消息后,要设置状态为“已发送”,只要收到消费者的确认请求后才更新为“已消费”,这就需要代理中记录所有的消费状态,但显然这种方式不可取。
缺点:
- push模式很难适应消费速率不同的消费者
- 因为消息发送速率是由broker决定的,push模式的目标是尽可能以最快速度传递消息,但是这样很容易造成consumer来不及处理消息,典型的表现就是拒绝服务以及网络拥塞。
拉取模型(pull)
kafka采用拉取模型,由消费者自己记录消费状态,每个消费者互相独立地顺序拉取每个分区的消息。

说明:
- 有两个消费者(不同消费者组)拉取同一个主题的消息,消费者A的消费进度是3,消费者B的消费进度是6。
- 消费者拉取的最大上限通过最高水位(watermark)控制,生产者最新写入的消息如果还没有达到备份数量,对消费者是不可见的。
- 这种由消费者控制偏移量的优点是:消费者可以按照任意的顺序消费消息。比如,消费者可以重置到旧的偏移量,重新处理之前已经消费过的消息;或者直接跳到最近的位置,从当前的时刻开始消费。
消费者组
kafka 消费者是以consumer group消费者组的方式工作,由一个或者多个消费者组成一个组,共同消费一个topic。每个分区在同一时间只能由group中的一个消费者读取,但是多个group可以同时消费这个partition。

上图中,有一个由三个消费者组成的group,有一个消费者读取主题中的两个分区,另外两个分别读取一个分区。某个消费者读取某个分区,也可以叫做某个消费者是某个分区的拥有者。
优点在于:
- 消费者可以通过水平扩展的方式同时读取大量的消息。
- 如果一个消费者失败了,那么其他的group成员会自动负载均衡读取之前失败的消费者读取的分区。
消费方式
kafka 消费者采用 pull(拉)模式从 broker中读取数据。
pull 的优点:
- pull 模式可以根据 consumer 的消费能力以适当的速率消费消息
缺点:
- 如果 kafka 没有数据,消费者可能会陷入循环中,一直返回空数据。针对这一点,Kafka 的消费者在消费数据时会传入一个时长参数 timeout,如果当前没有数据可供消费,consumer 会等待一段时间之后再返回,这段时长即为 timeout。
Kafka 如何保证顺序读取消息?
Kafka 可以保证在同一个分区内消息是有序的,生产者写入到同一分区的消息会按照写入顺序追加到分区日志文件中,消费者从分区中读取消息时也会按照这个顺序。这是 Kafka 天然具备的特性。
要在 Kafka 中保证顺序读取消息,需要结合生产者、消费者的配置以及合适的业务处理逻辑来实现。以下具体说明如何实现顺序读取消息:
- 生产者端确保消息顺序:为了保证消息写入同一分区从而确保顺序性,生产者需要将消息发送到指定分区。可以通过自定义分区器来实现,通过为消息指定相同的Key,保证相同Key的消息发送到同一分区。
- 消费者端保证顺序消费:消费者在消费消息时,需要单线程消费同一分区的消息,这样才能保证按顺序处理消息。如果使用多线程消费同一分区,就无法保证消息处理的顺序性。
Kafka 本身不能保证跨分区的消息顺序性,如果需要全局的消息顺序性,通常有以下两种方法:
- 只使用一个分区:将所有消息都写入到同一个分区,消费者也只从这个分区消费消息。但这种方式会导致 Kafka 的并行处理能力下降,因为 Kafka 的性能优势在于多分区并行处理。
- 业务层面保证:在业务代码中对消息进行编号或添加时间戳等标识,消费者在消费消息后,根据这些标识对消息进行排序处理。但这种方式会增加业务代码的复杂度。
kafka 消息积压怎么办?
Kafka 消息积压是一个常见的问题,它可能会导致数据处理延迟,甚至影响业务的正常运行,下面是一些解决 Kafka 消息积压问题的常用方法:
- 增加消费者实例可以提高消息的消费速度,从而缓解积压问题。你需要确保消费者组中的消费者数量不超过分区数量,因为一个分区同一时间只能被一个消费者消费。
- 增加 Kafka 主题的分区数量可以提高消息的并行处理能力。在创建新分区后,你需要重新平衡消费者组,让更多的消费者可以同时消费消息。
Kafka为什么一个分区只能由消费者组的一个消费者消费?这样设计的意义是什么?
同一时刻,一条消息只能被组中的一个消费者实例消费

如果两个消费者负责同一个分区,那么就意味着两个消费者同时读取分区的消息,由于消费者自己可以控制读取消息的offset,就有可能C1才读到2,而C1读到1,C1还没处理完,C2已经读到3了,则会造成很多浪费,因为这就相当于多线程读取同一个消息,会造成消息处理的重复,且不能保证消息的顺序。
如果有一个消费主题 topic,有一个消费组 group,topic 有 10 个分区,消费线程数和分区数的关系是怎么样的?
topic下的一个分区只能被同一个consumer group下的一个consumer线程来消费,但反之并不成立,即一个consumer线程可以消费多个分区的数据,比如Kafka提供的ConsoleConsumer,默认就只是一个线程来消费所有分区的数据。

所以,分区数决定了同组消费者个数的上限。
如果你的分区数是N,那么最好线程数也保持为N,这样通常能够达到最大的吞吐量。超过N的配置只是浪费系统资源,因为多出的线程不会被分配到任何分区。
消息中间件如何做到高可用?
消息中间件如何保证高可用呢?单机是没有高可用可言的,高可用都是对集群来说的,一起看下kafka的高可用吧。
Kafka 的基础集群架构,由多个broker组成,每个broker都是一个节点。当你创建一个topic时,它可以划分为多个partition,而每个partition放一部分数据,分别存在于不同的 broker 上。也就是说,一个 topic 的数据,是分散放在多个机器上的,每个机器就放一部分数据。
有些伙伴可能有疑问,每个partition放一部分数据,如果对应的broker挂了,那这部分数据是不是就丢失了?那还谈什么高可用呢?
Kafka 0.8 之后,提供了复制品副本机制来保证高可用,即每个 partition 的数据都会同步到其它机器上,形成多个副本。然后所有的副本会选举一个 leader 出来,让leader去跟生产和消费者打交道,其他副本都是follower。写数据时,leader 负责把数据同步给所有的follower,读消息时, 直接读 leader 上的数据即可。如何保证高可用的?就是假设某个 broker 宕机,这个broker上的partition 在其他机器上都有副本的。如果挂的是leader的broker呢?其他follower会重新选一个leader出来。
Kafka 和 RocketMQ 消息确认机制有什么不同?
Kafka的消息确认机制有三种:0,1,-1:
- ACK=0:这是最不可靠的模式。生产者在发送消息后不会等待来自服务器的确认。这意味着消息可能会在发送之后丢失,而生产者将无法知道它是否成功到达服务器。
- ACK=1:这是默认模式,也是一种折衷方式。在这种模式下,生产者会在消息发送后等待来自分区领导者(leader)的确认,但不会等待所有副本(replicas)的确认。这意味着只要消息被写入分区领导者,生产者就会收到确认。如果分区领导者成功写入消息,但在同步到所有副本之前宕机,消息可能会丢失。
- ACK=-1:这是最可靠的模式。在这种模式下,生产者会在消息发送后等待所有副本的确认。只有在所有副本都成功写入消息后,生产者才会收到确认。这确保了消息的可靠性,但会导致更长的延迟。
RocketMQ 提供了三种消息发送方式:同步发送、异步发送和单向发送:
- 同步发送:是指消息发送方发出一条消息后,会在收到服务端同步响应之后才发下一条消息的通讯方式。应用场景非常广泛,例如重要通知邮件、报名短信通知、营销短信系统等。
- 异步发送:是指发送方发出一条消息后,不等服务端返回响应,接着发送下一条消息的通讯方式,但是需要实现异步发送回调接口(SendCallback)。消息发送方在发送了一条消息后,不需要等待服务端响应即可发送第二条消息。发送方通过回调接口接收服务端响应,并处理响应结果。适用于链路耗时较长,对响应时间较为敏感的业务场景,例如,视频上传后通知启动转码服务,转码完成后通知推送转码结果等。
- 单向发送:发送方只负责发送消息,不等待服务端返回响应且没有回调函数触发,即只发送请求不等待应答。此方式发送消息的过程耗时非常短,一般在微秒级别。适用于某些耗时非常短,但对可靠性要求并不高的场景,例如日志收集。
Kafka 和 RocketMQ 的 broker 架构有什么区别
- Kafka 的 broker 架构:Kafka 的 broker 架构采用了分布式的设计,每个 Kafka broker 是一个独立的服务实例,负责存储和处理一部分消息数据。Kafka 的 topic 被分区存储在不同的 broker 上,实现了水平扩展和高可用性。
- RocketMQ 的 broker 架构:RocketMQ 的 broker 架构也是分布式的,但是每个 RocketMQ broker 有主从之分,一个主节点和多个从节点组成一个 broker 集群。主节点负责消息的写入和消费者的拉取,从节点负责消息的复制和消费者的负载均衡,提高了消息的可靠性和可用性。
kakfa 通过多个 topic 对消息进行分类。

为了提升单个 topic 的并发性能,将单个 topic 拆为多个 partition。

- 为了提升系统扩展性,将多个 partition 分别部署在不同
broker上。 - 为了提升系统的可用性,为 partition 加了多个副本。
- 为了协调和管理 Kafka 集群的数据信息,引入
Zookeeper作为协调节点。

Kafka 已经是非常强的消息队列了,我们来看下 RocketMQ 在 Kafka 架构的基础上,还能玩出什么花样来。
但 Zookeeper 作为一个通用的分布式协调服务,它不仅可以用于服务注册与发现,还可以用于分布式锁、配置管理等场景。Kafka 其实只用到了它的部分功能,多少有点杀鸡用牛刀的味道。太重了。
所以 RocketMQ 直接将 Zookeeper 去掉,换成了 nameserver,用一种更轻量的方式,管理消息队列的集群信息。生产者通过 nameserver 获取到 topic 和 broker 的路由信息,然后再与 broker 通信,实现服务发现和负载均衡的效果。

当然,开发 Kafka 的大佬们后来也意识到了 Zookeeper 过重的问题,所以从 2.8.0 版本就支持将 Zookeeper 移除,通过 在 broker 之间加入一致性算法 raft 实现同样的效果,这就是所谓的 KRaft 或 Quorum 模式。

我们知道,Kafka 会将 topic 拆分为多个 partition,用来提升并发性能。

在 RocketMQ 里也一样,将 topic 拆分成了多个分区,但换了个名字,叫 Queue,也就是”队列“。

Kafka 中的 partition 会存储完整的消息体,而 RocketMQ 的 Queue 上却只存一些简要信息,比如消息偏移 offset,而消息的完整数据则放到”一个”叫 commitlog 的文件上,通过 offset 我们可以定位到 commitlog 上的某条消息。
Kafka 消费消息,broker 只需要直接从 partition 读取消息返回就好,也就是读第一次就够了。
而在 RocketMQ 中,broker 则需要先从 Queue 上读取到 offset 的值,再跑到 commitlog 上将完整数据读出来,也就是需要读两次。
那么问题就来了,看起来 Kafka 的设计更高效?为什么 RocketMQ 不采用 Kafka 的设计?这就不得说一下 Kafka 的底层存储了
Kafka 的底层存储
Kafka 的 partition 分区,其实在底层由很多段(segment)组成,每个 segment 可以认为就是个小文件。将消息数据写入到 partition 分区,本质上就是将数据写入到某个 segment 文件下。
我们知道,操作系统的机械磁盘,顺序写的性能会比随机写快很多,差距高达几十倍。为了提升性能,Kafka 对每个小文件都是顺序写。如果只有一个 segment 文件,那写文件的性能会很好。
但当 topic 变多之后,topic 底下的 partition 分区也会变多,对应的 partition 底下的 segment 文件也会变多。同时写多个 topic 底下的 partition,就是同时写多个文件,虽然每个文件内部都是顺序写,但多个文件存放在磁盘的不同地方,原本顺序写磁盘就可能劣化变成了随机写。于是写性能就降低了。
那问题又又来了,究竟多少 topic 才算多?这个看实际情况,但打太极从来不是我的风格。我给一个经验值仅供参考,8 个分区的情况下,超过 64 topic, Kafka 性能就会开始下降。
RocketMQ 的底层存储
为了缓解同时写多个文件带来的随机写问题,RocketMQ 索性将单个 broker 底下的多个 topic 数据,全都写到”一个“逻辑文件 CommitLog 上,这就消除了随机写多文件的问题,将所有写操作都变成了顺序写。大大提升了 RocketMQ 在多 topic 场景下的写性能。
注意上面提到的”一个“是带引号的,虽然逻辑上它是一个大文件,但实际上这个 CommitLog 由多个小文件组成。每个文件的大小是固定的,当一个文件被写满后,会创建一个新的文件来继续存储新的消息。这种方式可以方便地管理和清理旧的消息。
简化备份模型
我们知道,Kafka 会将 partiton 分散到多个 broker 中,并为 partiton 配置副本,将 partiton 分为 leader和 follower,也就是主和从。broker 中既可能有 A topic 的主 partiton,也可能有 B topic 的从 partiton。主从 partiton 之间会建立数据同步,本质上就是同步 partiton 底下的 segment 文件数据
RocketMQ 将 broker 上的所有 topic 数据到写到 CommitLog 上。如果还像 Kafka 那样给每个分区单独建立同步通信,就还得将 CommitLog 里的内容拆开,这就还是退化为随机读了。于是 RocketMQ 索性以 broker 为单位区分主从,主从之间同步 CommitLog 文件,保持高可用的同时,也大大简化了备份模型。
虽然 RocketMQ 的架构比 Kafka 的简单,但功能却比 Kafka 要更丰富,我们来看下。
消息过滤
我们知道,Kafka 支持通过 topic 将数据进行分类,比如订单数据和用户数据是两个不同的 topic,但如果我还想再进一步分类呢?比如同样是用户数据,还能根据 vip 等级进一步分类。假设我们只需要获取 vip6 的用户数据,在 Kafka 里,消费者需要消费 topic 为用户数据的所有消息,再将 vip6 的用户过滤出来。
而 RocketMQ 支持对消息打上标记,也就是打 tag,消费者能根据 tag 过滤所需要的数据。比如我们可以在部分消息上标记 tag=vip6,这样消费者就能只获取这部分数据,省下了消费者过滤数据时的资源消耗。
支持事务
我们知道 Kafka 支持事务,比如生产者发三条消息 ABC,这三条消息要么同时发送成功,要么同时发送失败。
是,这确实也叫事务,但跟我们要的不太一样。
写业务代码的时候,我们更想要的事务是,”执行一些自定义逻辑“和”生产者发消息“这两件事,要么同时成功,要么同时失败。
而这正是 RocketMQ 支持的事务能力。
加入延时队列
如果我们希望消息投递出去之后,消费者不能立马消费到,而是过个一定时间后才消费,也就是所谓的延时消息,就像文章开头的定时外卖那样。如果我们使用 Kafka, 要实现类似的功能的话,就会很费劲。但 RocketMQ 天然支持延时队列,我们可以很方便实现这一功能。
加入死信队列
消费消息是有可能失败的,失败后一般可以设置重试。如果多次重试失败,RocketMQ 会将消息放到一个专门的队列,方便我们后面单独处理。这种专门存放失败消息的队列,就是死信队列。Kafka 原生不支持这个功能,需要我们自己实现。
消息回溯
Kafka 支持通过调整 offset 来让消费者从某个地方开始消费,而 RocketMQ,除了可以调整 offset, 还支持调整时间(kafka在0.10.1后支持调时间)
所以不那么严谨的说, RocketMQ 本质就是在架构上做了减法,在功能上做了加法的 Kafka。这个总结是不是特别精辟。现在大家通了吗?
最后遗留一个问题。现在看起来,RocketMQ 好像各方面都比 Kafka 更能打。但 Kafka 却一直没被淘汰,说明 RocketMQ 必然是有着不如 Kafka 的地方。是啥呢?性能,严格来说是吞吐量。
这就很奇怪了,为什么 RocketMQ 参考了 Kafka 的架构,性能却还不如 Kafka?这个问题,我们下期聊聊。
RocketMQ 为什么性能不如 Kafka?
但 kafka 却一直没被淘汰,说明 RocketMQ 必然是有着不如 kafka 的地方。
是啥呢? 性能,严格来说是吞吐量。阿里中间件团队对它们做过压测,同样条件下,kafka 比 RocketMQ 快 50%左右。但即使这样,RocketMQ 依然能每秒处理 10w 量级的数据,依旧非常能打。你不能说 RocketMQ 弱,只能说 Kafka 性能太强了。
不过这就很奇怪了,为什么 RocketMQ 参考了 kafka 的架构,却不能跟 kafka 保持一样的性能呢?在回答这个问题之前,我们来聊下什么是零拷贝。
一顿操作猛如虎,结果就是同样一份数据来回拷贝。有没有办法优化呢?有,它就是零拷贝技术,常见的方案有两种,分别是 mmap 和 sendfile。我们来看下它们是什么。
mmap 是操作系统内核提供的一个方法,可以将内核空间的缓冲区映射到用户空间。

用了它,整个发送流程就有了一些变化。程序发起系统调用mmap(),尝试读取磁盘数据,具体情况如下:
- 磁盘数据从设备拷贝到内核空间的缓冲区。
- 内核空间的缓冲区映射到用户空间,这里不需要拷贝。
程序再发起系统调用write(),将读到的数据发到网络:
- 数据从内核空间缓冲区拷贝到 socket 发送缓冲区。
- 再从 socket 发送缓冲区拷贝到网卡。

整个过程,发生了 2 次系统调用,对应 4 次用户空间和内核空间的切换,以及 3 次数据拷贝,对比之前,省下一次内核空间到用户空间的拷贝。

看到这里大家估计也蒙了,不是说零拷贝吗?怎么还有 3 次拷贝。mmap 作为一种零拷贝技术,指的是用户空间到内核空间这个过程不需要拷贝,而不是指数据从磁盘到发送到网卡这个过程零拷贝。

确实省了一点,但不多。有没有更彻底的零拷贝?有,用 sendfile.
sendfile 是什么
sendfile,也是内核提供的一个方法,从名字可以看出,就是用来发送文件数据的。程序发起系统调用sendfile(),内核会尝试读取磁盘数据然后发送,具体情况如下:
- • 磁盘数据从设备拷贝到内核空间的缓冲区。
- • 内核空间缓冲区里的数据可以直接拷贝到网卡。

整个过程,发生了 1 次系统调用,对应 2 次用户空间和内核空间的切换,以及 2 次数据拷贝。这时候问题很多的小明就有意见了,说好的零拷贝怎么还有 2 次拷贝?

其实,这里的零拷贝指的是零 CPU拷贝。也就是说 sendfile 场景下,需要的两次拷贝,都不是 CPU 直接参与的拷贝,而是其他硬件设备技术做的拷贝,不耽误我们 CPU 跑程序。
kafka 为什么性能比 RocketMQ 好
聊完两种零拷贝技术,我们回过头来看下 kafka 为什么性能比 RocketMQ 好。这是因为 RocketMQ 使用的是 mmap 零拷贝技术,而 kafka 使用的是 sendfile。kafka 以更少的拷贝次数以及系统内核切换次数,获得了更高的性能。但问题又来了,为什么 RocketMQ 不使用 sendfile?参考 kafka 抄个作业也不难啊?我们来看下 sendfile 函数长啥样。
1 | |
再来看下 mmap 函数长啥样。
1 | |
数据结构
HashMap
JDK1.8 之前
JDK1.8 之前 HashMap 底层是 数组和链表 结合在一起使用也就是 链表散列。
HashMap 通过 key 的 hashCode 经过扰动函数处理过后得到 hash 值,然后通过 (n - 1) & hash 判断当前元素存放的位置(这里的 n 指的是数组的长度),如果当前位置存在元素的话,就判断该元素与要存入的元素的 hash 值以及 key 是否相同,如果相同的话,直接覆盖,不相同就通过拉链法解决冲突。
所谓扰动函数指的就是 HashMap 的 hash 方法。使用 hash 方法也就是扰动函数是为了防止一些实现比较差的 hashCode() 方法 换句话说使用扰动函数之后可以减少碰撞。

JDK1.8 之后
相比于之前的版本,JDK1.8 以后在解决哈希冲突时有了较大的变化。
当链表长度大于阈值(默认为 8)时,会首先调用 treeifyBin()方法。这个方法会根据 HashMap 数组来决定是否转换为红黑树。只有当数组长度大于或者等于 64 的情况下,才会执行转换红黑树操作,以减少搜索时间。否则,就是只是执行 resize() 方法对数组扩容。相关源码这里就不贴了,重点关注 treeifyBin()方法即可。

loadFactor 负载因子
loadFactor 负载因子是控制数组存放数据的疏密程度,loadFactor 越趋近于 1,那么 数组中存放的数据(entry)也就越多,也就越密,也就是会让链表的长度增加,loadFactor 越小,也就是趋近于 0,数组中存放的数据(entry)也就越少,也就越稀疏。
loadFactor 太大导致查找元素效率低,太小导致数组的利用率低,存放的数据会很分散。loadFactor 的默认值为 0.75f 是官方给出的一个比较好的临界值。
给定的默认容量为 16,负载因子为 0.75。Map 在使用过程中不断的往里面存放数据,当数量超过了 16 * 0.75 = 12 就需要将当前 16 的容量进行扩容,而扩容这个过程涉及到 rehash、复制数据等操作,所以非常消耗性能。
threshold
threshold = capacity * loadFactor,当 Size>threshold的时候,那么就要考虑对数组的扩增了,也就是说,这个的意思就是 衡量数组是否需要扩增的一个标准。
进行扩容,会伴随着一次重新 hash 分配,并且会遍历 hash 表中所有的元素,是非常耗时的。在编写程序中,要尽量避免 resize。resize 方法实际上是将 table 初始化和 table 扩容 进行了整合,底层的行为都是给 table 赋值一个新的数组。
双端队列,栈和队列
| 操作类型 | ArrayDeque | LinkedList |
|---|---|---|
| 头尾插入/删除 | O(1),内存连续,缓存友好,循环数组实现 | O(1),但需频繁创建节点对象,实际性能略低 |
| 中间插入/删除 | 不支持(仅限两端操作) | O(n),需遍历链表找到位置 |
| 随机访问 | O(1)(通过索引直接访问) | O(n),需从头或尾遍历链表 |
| 扩容开销 | 扩容时需复制数组,O(n)开销 | 无固定容量限制,动态扩展无额外开销 |
堆
- 完全二叉树:若二叉树的深度为 h,则除第 h 层外,其他层的结点全部达到最大值,且第 h 层的所有结点都集中在左子树。
- 满二叉树:满二叉树是一种特殊的的完全二叉树,所有层的结点都是最大值。
堆通常是一个可以被看做一棵树的数组对象。堆总是满足下列性质:
- 堆中某个节点的值总是不大于或不小于其父节点的值;
- 堆总是一棵完全二叉树。


堆的定义如下:n个元素的序列{k1,k2,ki,…,kn}当且仅当满足下关系时,称之为堆。
(ki <= k2i,ki <= k2i+1)或者(ki >= k2i,ki >= k2i+1), (i = 1,2,3,4…n/2)
注意: 在二叉树中,若当前节点的下标为 i, 则其父节点的下标为 i/2,其左子节点的下标为 i*2,其右子节点的下标为i*2+1;
堆的插入
每次插入都是将先将新数据放在数组最后,由于从这个新数据的父结点到根结点必然为一个有序的序列,现在的任务是将这个新数据插入到这个有序序列中——这就类似于直接插入排序中将一个数据并入到有序区间中。
我们通过一个插入例子来看看插入操作的细节。我们将数字 16 插入到这个堆中:

堆的数组是: [ 10, 7, 2, 5, 1 ]。
第一步是将新的元素插入到数组的尾部,数组变成:[ 10, 7, 2, 5, 1, 16 ];
相应的树变成了:

16 被添加最后一行的第一个空位。
不行的是,现在堆属性不满足,因为 2 在 16 的上面,我们需要将大的数字在上面(这是一个最大堆)
为了恢复堆属性,我们需要交换 16 和 2。

现在还没有完成,因为 10 也比 16 小。我们继续交换我们的插入元素和它的父节点,直到它的父节点比它大或者我们到达树的顶部。这就是所谓的 shift-up,每一次插入操作后都需要进行。它将一个太大或者太小的数字“浮起”到树的顶部。
最后我们得到的堆:

现在每一个父节点都比它的子节点大。
堆的删除
堆中每次都只能删除堆顶元素。为了便于重建堆,实际的操作是将最后一个数据的值赋给根结点,然后再从根结点开始进行一次从上向下的调整。调整时先在左右子结点中找最小的,如果父结点比这个最小的子结点还小说明不需要调整了,反之将父结点和它交换后再考虑后面的结点。相当于根结点数据的“下沉”过程。
我们将这个树中的 (10) 删除:

现在顶部有一个空的节点,怎么处理?

当插入节点的时候,我们将新的值返给数组的尾部。现在我们来做相反的事情:我们取出数组中的最后一个元素,将它放到树的顶部,然后再修复堆属性。

现在来看怎么 shift-down (1)。为了保持最大堆的堆属性,我们需要树的顶部是最大的数据。现在有两个数字可用于交换 7 和 2。我们选择这两者中的较大者称为最大值放在树的顶部,所以交换 7 和 1,现在树变成了:

继续堆化直到该节点没有任何子节点或者它比两个子节点都要大为止。对于我们的堆,我们只需要再有一次交换就恢复了堆属性:

从数组构造一个堆
原始数据为a[] = {4, 1, 3, 2, 16, 9, 10, 14, 8, 7},采用顺序存储方式,对应的完全二叉树如下图所示:

基本思想:
首先将每个叶子节点视为一个堆,再将每个叶子节点与其父节点一起构造成一个包含更多节点的对。所以,在构造堆的时候,首先需要找到最后一个节点的父节点,从这个节点开始构造最大堆;直到该节点前面所有分支节点都处理完毕,这样最大堆就构造完毕了。
假设树的节点个数为n,以1为下标开始编号,直到n结束。对于节点i,其父节点为i/2;左孩子节点为i2,右孩子节点为i2+1。最后一个节点的下标为n,其父节点的下标为n/2。
我们边针对上边数组操作如下图所示,最后一个节点为7,其父节点为16,从16这个节点开始构造最大堆;构造完毕之后,转移到下一个父节点2,直到所有父节点都构造完毕。

1 | |
操作系统
内存
虚拟内存
操作系统会提供一种机制,将不同进程的虚拟地址和不同内存的物理地址映射起来。
- 我们程序所使用的内存地址叫做虚拟内存地址(Virtual Memory Address)。
- 实际存在硬件里面的空间地址叫物理内存地址(Physical Memory Address)。
内存分页
分页是把整个虚拟和物理内存空间切成一段段固定尺寸的大小。这样一个连续并且尺寸固定的内存空间,我们叫页(Page)。在 Linux 下,每一页的大小为 4KB。
虚拟地址与物理地址之间通过页表来映射,如下图:

页表是存储在内存里的,内存管理单元 (MMU)就做将虚拟内存地址转换成物理地址的工作。
而当进程访问的虚拟地址在页表中查不到时,系统会产生一个缺页异常,进入系统内核空间分配物理内存、更新进程页表,最后再返回用户空间,恢复进程的运行。
内存分页由于内存空间都是预先划分好的,也就不会像内存分段一样,在段与段之间会产生间隙非常小的内存,这正是分段会产生外部内存碎片的原因。而采用了分页,页与页之间是紧密排列的,所以不会有外部碎片。
但是,因为内存分页机制分配内存的最小单位是一页,即使程序不足一页大小,我们最少只能分配一个页,所以页内会出现内存浪费,所以针对内存分页机制会有内部内存碎片的现象。
如果内存空间不够,操作系统会把其他正在运行的进程中的「最近没被使用」的内存页面给释放掉,也就是暂时写在硬盘上,称为换出(Swap Out)。一旦需要的时候,再加载进来,称为换入(Swap In)。所以,一次性写入磁盘的也只有少数的一个页或者几个页,不会花太多时间,内存交换的效率就相对比较高。
更进一步地,分页的方式使得我们在加载程序的时候,不再需要一次性都把程序加载到物理内存中。我们完全可以在进行虚拟内存和物理内存的页之间的映射之后,并不真的把页加载到物理内存里,而是只有在程序运行中,需要用到对应虚拟内存页里面的指令和数据时,再加载到物理内存里面去。
分页机制下,虚拟地址和物理地址是如何映射的?
在分页机制下,虚拟地址分为两部分,页号和页内偏移。页号作为页表的索引,页表包含物理页每页所在物理内存的基地址,这个基地址与页内偏移的组合就形成了物理内存地址,见下图。

简单的分页有什么缺陷吗?
有空间上的缺陷。
因为操作系统是可以同时运行非常多的进程的,那这不就意味着页表会非常的庞大。
在 32 位的环境下,虚拟地址空间共有 4GB,假设一个页的大小是 4KB(2^12),那么就需要大约 100 万 (2^20) 个页,每个「页表项」需要 4 个字节大小来存储,那么整个 4GB 空间的映射就需要有 4MB 的内存来存储页表。
这 4MB 大小的页表,看起来也不是很大。但是要知道每个进程都是有自己的虚拟地址空间的,也就说都有自己的页表。
那么,100 个进程的话,就需要 400MB 的内存来存储页表,这是非常大的内存了,更别说 64 位的环境了。
多级页表
在前面我们知道了,对于单页表的实现方式,在 32 位和页大小 4KB 的环境下,一个进程的页表需要装下 100 多万个「页表项」,并且每个页表项是占用 4 字节大小的,于是相当于每个页表需占用 4MB 大小的空间。
我们把这个 100 多万个「页表项」的单级页表再分页,将页表(一级页表)分为 1024 个页表(二级页表),每个表(二级页表)中包含 1024 个「页表项」,形成二级分页。如下图所示:

你可能会问,分了二级表,映射 4GB 地址空间就需要 4KB(一级页表)+ 4MB(二级页表)的内存,这样占用空间不是更大了吗?
当然如果 4GB 的虚拟地址全部都映射到了物理内存上的话,二级分页占用空间确实是更大了,但是,我们往往不会为一个进程分配那么多内存。
其实我们应该换个角度来看问题,还记得计算机组成原理里面无处不在的局部性原理么?
每个进程都有 4GB 的虚拟地址空间,而显然对于大多数程序来说,其使用到的空间远未达到 4GB,因为会存在部分对应的页表项都是空的,根本没有分配,对于已分配的页表项,如果存在最近一定时间未访问的页表,在物理内存紧张的情况下,操作系统会将页面换出到硬盘,也就是说不会占用物理内存。
如果使用了二级分页,一级页表就可以覆盖整个 4GB 虚拟地址空间,但如果某个一级页表的页表项没有被用到,也就不需要创建这个页表项对应的二级页表了,即可以在需要时才创建二级页表。做个简单的计算,假设只有 20% 的一级页表项被用到了,那么页表占用的内存空间就只有 4KB(一级页表) + 20% * 4MB(二级页表)= 0.804MB,这对比单级页表的 4MB 是不是一个巨大的节约?
对于 64 位的系统,两级分页肯定不够了,就变成了四级目录,分别是:
- 全局页目录项 PGD(Page Global Directory);
- 上层页目录项 PUD(Page Upper Directory);
- 中间页目录项 PMD(Page Middle Directory);
- 页表项 PTE(Page Table Entry);
我们就可以利用这一特性,把最常访问的几个页表项存储到访问速度更快的硬件,于是计算机科学家们,就在 CPU 芯片中,加入了一个专门存放程序最常访问的页表项的 Cache,这个 Cache 就是 TLB(Translation Lookaside Buffer) ,通常称为页表缓存、转址旁路缓存、快表等。

在 CPU 芯片里面,封装了内存管理单元(Memory Management Unit)芯片,它用来完成地址转换和 TLB 的访问与交互。
有了 TLB 后,那么 CPU 在寻址时,会先查 TLB,如果没找到,才会继续查常规的页表。
TLB 的命中率其实是很高的,因为程序最常访问的页就那么几个。
malloc 是如何分配内存的?
实际上,malloc() 并不是系统调用,而是 C 库里的函数,用于动态分配内存。
malloc 申请内存的时候,会有两种方式向操作系统申请堆内存。
- 方式一:通过 brk() 系统调用从堆分配内存
- 方式二:通过 mmap() 系统调用在文件映射区域分配内存;
方式一实现的方式很简单,就是通过 brk() 函数将「堆顶」指针向高地址移动,获得新的内存空间。如下图:

方式二通过 mmap() 系统调用中「私有匿名映射」的方式,在文件映射区分配一块内存,也就是从文件映射区“偷”了一块内存。如下图:

什么场景下 malloc() 会通过 brk() 分配内存?又是什么场景下通过 mmap() 分配内存?
malloc() 源码里默认定义了一个阈值:
- 如果用户分配的内存小于 128 KB,则通过 brk() 申请内存;
- 如果用户分配的内存大于 128 KB,则通过 mmap() 申请内存;
注意,不同的 glibc 版本定义的阈值也是不同的。
malloc() 分配的是物理内存吗?
不是的,malloc() 分配的是虚拟内存。
如果分配后的虚拟内存没有被访问的话,虚拟内存是不会映射到物理内存的,这样就不会占用物理内存了。
只有在访问已分配的虚拟地址空间的时候,操作系统通过查找页表,发现虚拟内存对应的页没有在物理内存中,就会触发缺页中断,然后操作系统会建立虚拟内存和物理内存之间的映射关系。
malloc(1) 会分配多大的虚拟内存?
malloc() 在分配内存的时候,并不是老老实实按用户预期申请的字节数来分配内存空间大小,而是会预分配更大的空间作为内存池。
具体会预分配多大的空间,跟 malloc 使用的内存管理器有关系,我们就以 malloc 默认的内存管理器(Ptmalloc2)来分析。
接下里,我们做个实验,用下面这个代码,通过 malloc 申请 1 字节的内存时,看看操作系统实际分配了多大的内存空间。
这个例子分配的内存小于 128 KB,所以是通过 brk() 系统调用向堆空间申请的内存,因此可以看到最右边有 [heap] 的标识。
可以看到,堆空间的内存地址范围是 00d73000-00d94000,这个范围大小是 132KB,也就说明了 malloc(1) 实际上预分配 132K 字节的内存。
可能有的同学注意到了,程序里打印的内存起始地址是 d73010,而 maps 文件显示堆内存空间的起始地址是 d73000,为什么会多出来 0x10 (16字节)呢?这个问题,我们先放着,后面会说。
free 释放内存,会归还给操作系统吗?
- malloc 通过 brk() 方式申请的内存,free 释放内存的时候,并不会把内存归还给操作系统,而是缓存在 malloc 的内存池中,待下次使用;
- malloc 通过 mmap() 方式申请的内存,free 释放内存的时候,会把内存归还给操作系统,内存得到真正的释放。
为什么不全部使用 mmap 来分配内存?
- mmap 要系统调用,因为 mmap 分配的内存释放的时候会归还给操作系统
- mmap 要运行态切换 + 缺页中断
因为向操作系统申请内存,是要通过系统调用的,执行系统调用是要进入内核态的,然后在回到用户态,运行态的切换会耗费不少时间。
所以,申请内存的操作应该避免频繁的系统调用,如果都用 mmap 来分配内存,等于每次都要执行系统调用。
另外,因为 mmap 分配的内存每次释放的时候,都会归还给操作系统,于是每次 mmap 分配的虚拟地址都是缺页状态的,然后在第一次访问该虚拟地址的时候,就会触发缺页中断。
也就是说,频繁通过 mmap 分配的内存话,不仅每次都会发生运行态的切换,还会发生缺页中断(在第一次访问虚拟地址后),这样会导致 CPU 消耗较大。
为了改进这两个问题,malloc 通过 brk() 系统调用在堆空间申请内存的时候,由于堆空间是连续的,所以直接预分配更大的内存来作为内存池,当内存释放的时候,就缓存在内存池中。
等下次在申请内存的时候,就直接从内存池取出对应的内存块就行了,而且可能这个内存块的虚拟地址与物理地址的映射关系还存在,这样不仅减少了系统调用的次数,也减少了缺页中断的次数,这将大大降低 CPU 的消耗。
既然 brk 那么牛逼,为什么不全部使用 brk 来分配?
- brk 会产生大量的内存碎片
前面我们提到通过 brk 从堆空间分配的内存,并不会归还给操作系统,那么我们那考虑这样一个场景。
如果我们连续申请了 10k,20k,30k 这三片内存,如果 10k 和 20k 这两片释放了,变为了空闲内存空间,如果下次申请的内存小于 30k,那么就可以重用这个空闲内存空间。
但是如果下次申请的内存大于 30k,没有可用的空闲内存空间,必须向 OS 申请,实际使用内存继续增大。
因此,随着系统频繁地 malloc 和 free ,尤其对于小块内存,堆内将产生越来越多不可用的碎片,导致“内存泄露”。而这种“泄露”现象使用 valgrind 是无法检测出来的。
所以,malloc 实现中,充分考虑了 brk 和 mmap 行为上的差异及优缺点,默认分配大块内存 (128KB) 才使用 mmap 分配内存空间。
free() 函数只传入一个内存地址,为什么能知道要释放多大的内存?
还记得,我前面提到, malloc 返回给用户态的内存起始地址比进程的堆空间起始地址多了 16 字节吗?
这个多出来的 16 字节就是保存了该内存块的描述信息,比如有该内存块的大小。

这样当执行 free() 函数时,free 会对传入进来的内存地址向左偏移 16 字节,然后从这个 16 字节的分析出当前的内存块的大小,自然就知道要释放多大的内存了。
malloc内存分配器是怎样实现的?
https://mp.weixin.qq.com/s/Flt85kKbDEn_XD83mtYxUA?token=1646973705&lang=zh_CN
进程
线程崩溃了,进程也会崩溃吗?
一般来说如果线程是因为非法访问内存引起的崩溃,那么进程肯定会崩溃,为什么系统要让进程崩溃呢,这主要是因为在进程中,各个线程的地址空间是共享的,既然是共享,那么某个线程对地址的非法访问就会导致内存的不确定性,进而可能会影响到其他线程,这种操作是危险的,操作系统会认为这很可能导致一系列严重的后果,于是干脆让整个进程崩溃。
进程是如何崩溃的
那么线程崩溃后,进程是如何崩溃的呢,这背后的机制到底是怎样的,答案是信号。
大家想想要干掉一个正在运行的进程是不是经常用 kill -9 pid 这样的命令,这里的 kill 其实就是给指定 pid 发送终止信号的意思,其中的 9 就是信号。
其实信号有很多类型的,在 Linux 中可以通过 kill -l查看所有可用的信号:
那么发个信号进程怎么就崩溃了呢,这背后的原理到底是怎样的?
其背后的机制如下:
- CPU 执行正常的进程指令
- 调用 kill 系统调用向进程发送信号(假设为 11,即 SIGSEGV,一般非法访问内存报的都是这个错误)
- 进程收到操作系统发的信号,CPU 暂停当前程序运行,并将控制权转交给操作系统
- 操作系统根据情况执行相应的信号处理程序(函数),一般执行完信号处理程序逻辑后会让进程退出
注意上面的第五步,如果进程没有注册自己的信号处理函数,那么操作系统会执行默认的信号处理程序(一般最后会让进程退出),但如果注册了,则会执行自己的信号处理函数,这样的话就给了进程一个垂死挣扎的机会,它收到 kill 信号后,可以调用 exit() 来退出,但也可以使用 sigsetjmp,siglongjmp 这两个函数来恢复进程的执行
1 | |
如代码所示:注册信号处理函数后,当收到 SIGSEGV 信号后,先执行相关的逻辑再退出
另外当进程接收信号之后也可以不定义自己的信号处理函数,而是选择忽略信号,如下
1 | |
也就是说虽然给进程发送了 kill 信号,但如果进程自己定义了信号处理函数或者无视信号就有机会逃出生天,当然了 kill -9 命令例外,不管进程是否定义了信号处理函数,都会马上被干掉。
说到这大家是否想起了一道经典面试题:如何让正在运行的 Java 工程的优雅停机?
通过上面的介绍大家不难发现,其实是 JVM 自己定义了信号处理函数,这样当发送 kill pid 命令(默认会传 15 也就是 SIGTERM)后,JVM 就可以在信号处理函数中执行一些资源清理之后再调用 exit 退出。
这种场景显然不能用 kill -9,不然一下把进程干掉了资源就来不及清除了。
为什么线程崩溃不会导致 JVM 进程崩溃
因为 JVM 自定义了自己的信号处理函数,拦截了 SIGSEGV 信号,针对这两者不让它们崩溃。
OpenJDK 源码

可以看到,在启动 JVM 的时候,也设置了信号处理函数,收到 SIGSEGV,SIGPIPE 等信号后最终会调用 JVM_handle_linux_signal 这个自定义信号处理函数,再来看下这个函数的主要逻辑。
- 发生 stackoverflow 还有空指针错误,确实都发送了 SIGSEGV,只是虚拟机不选择退出,而是自己内部作了额外的处理,其实是恢复了线程的执行,并抛出 StackoverflowError 和 NPE,这就是为什么 JVM 不会崩溃且我们能捕获这两个错误/异常的原因
- 如果针对 SIGSEGV 等信号,在以上的函数中 JVM 没有做额外的处理,那么最终会走到 report_and_die 这个方法,这个方法主要做的事情是生成 hs_err_pid_xxx.log crash 文件(记录了一些堆栈信息或错误),然后退出
至此我相信大家明白了为什么发生了 StackoverflowError 和 NPE 这两个非法访问内存的错误,JVM 却没有崩溃。
原因其实就是虚拟机内部定义了信号处理函数,而在信号处理函数中对这两者做了额外的处理以让 JVM 不崩溃,另一方面也可以看出如果 JVM 不对信号做额外的处理,最后会自己退出并产生 crash 文件 hs_err_pid_xxx.log(可以通过 -XX:ErrorFile=/var/*log*/hs_err.log 这样的方式指定),这个文件记录了虚拟机崩溃的重要原因。
所以也可以说,虚拟机是否崩溃只要看它是否会产生此崩溃日志文件
系统设计
秒杀系统
系统架构分层设计如下。
前端层:
- 页面静态化:将商品展示页面等静态内容进行缓存,用户请求时可以直接从缓存中获取,减少服务器的渲染压力。例如,使用内容分发网络(CDN)缓存商品图片、详情介绍等静态资源。
- 防刷机制:通过验证码、限制用户请求频率等方式防止恶意刷请求。例如,在秒杀开始前要求用户输入验证码,并且在一定时间内限制单个用户的请求次数,如每秒最多允许 3 次请求。
应用层:
- 负载均衡:采用负载均衡器将用户请求均匀地分配到多个后端服务器,避免单点服务器过载。如使用 Nginx 作为负载均衡器,根据服务器的负载情况和性能动态分配请求。
- 服务拆分与微服务化:将秒杀系统的不同功能模块拆分成独立的微服务,如用户服务、商品服务、订单服务等。这样可以独立部署和扩展各个模块,提高系统的灵活性和可维护性。
- 缓存策略:在应用层使用缓存来提高系统性能。例如,使用 Redis 缓存商品库存信息,用户下单前先从 Redis 中查询库存,减少对数据库的直接访问。
数据层:
- 数据库优化:对数据库进行性能优化,如数据库索引优化、SQL 语句优化等。对于库存表,可以为库存字段添加索引,加快库存查询和更新的速度。
- 数据库集群与读写分离:采用数据库集群来提高数据库的处理能力,同时进行读写分离。将读操作(如查询商品信息)和写操作(如库存扣减、订单生成)分布到不同的数据库节点上,提高系统的并发处理能力。
高并发场景下扣减库存的方式:
- 预扣库存:在用户下单时,先预扣库存,将库存数量在缓存(如 Redis)中进行减 1 操作。同时设置一个较短的过期时间,如 1 - 2 分钟。如果用户在过期时间内完成支付,正式扣减库存;如果未完成支付,库存自动回补。
- 异步更新数据库:通过 Redis 判断之后,去更新数据库的请求都是必要的请求,这些请求数据库必须要处理,但是如果数据库还是处理不过来这些请求怎么办呢?这个时候就可以考虑削峰填谷操作了,削峰填谷最好的实践就是 MQ 了。经过 Redis 库存扣减判断之后,我们已经确保这次请求需要生成订单,我们就可以通过异步的形式通知订单服务生成订单并扣减库存。
- 数据库乐观锁防止超卖:更新数据库减库存的时候,采用乐观锁方式,进行库存限制条件,
update goods set stock = stock - 1 where goods_id = ? and stock >0
redis 分布式锁解决超卖问题
同一个锁key,同一时间只能有一个客户端拿到锁,其他客户端会陷入无限的等待来尝试获取那个锁,只有获取到锁的客户端才能执行下面的业务逻辑。
比如说,用户要一次性买 10 台手机,那么避免超卖的流程如下:
- 只有一个订单系统实例可以成功加分布式锁,然后只有他一个实例可以查库存、判断库存是否充足、下单扣减库存,接着释放锁。
- 释放锁之后,另外一个订单系统实例才能加锁,接着查库存,一下发现库存只有 2 个了,库存不足,无法购买,下单失败,不会将库存扣减为-8的,就避免超卖的问题。
这种方案的缺点是同一个商品在多用户同时下单的情况下,会基于分布式锁串行化处理,导致没法同时处理同一个商品的大量下单的请求。
数据库层面解决超卖
- 在查询商品库存时加排他锁,执行如下语句:
1 | |
在事务中线程A通过select * from goods for where goods_id=#{id} for update语句给goods_id为#{id}的数据行上了锁。那么其他线程此时可以使用select语句读取数据,但是如果也使用select for update语句加锁,或者使用update,delete都会阻塞,直到线程A将事务提交(或者回滚),其他线程中的某个线程排在线程A后的线程才能获取到锁。
- 更新数据库减库存的时候,进行库存限制条件
1 | |
这种通过数据库加锁来解决的方案,性能不是很好,在高并发的情况下,还可能存在因为获取不到数据库连接或者因为超时等待而报错。
利用分布式锁+分段缓存解决超卖
把数据分成很多个段,每个段是一个单独的锁,所以多个线程过来并发修改数据的时候,可以并发的修改不同段的数据
假设场景:假如你现在商品有100个库存,在redis存放5个库存key,形如:
1 | |
用户下单时对用户id进行%5计算,看落在哪个redis的key上,就去取哪个,这样每次就能够处理5个进程请求
这种方案可以解决同一个商品在多用户同时下单的情况,但有个坑需要解决:当某段锁的库存不足,一定要实现自动释放锁然后换下一个分段库存再次尝试加锁处理,此种方案复杂比较高。
利用redis的incr、decr的原子性 + 异步队列解决超卖
实现思路
- 1、在系统初始化时,将商品的库存数量加载到redis缓存中
- 2、接收到秒杀请求时,在redis中进行预减库存(利用redis decr的原子性),当redis中的库存不足时,直接返回秒杀失败,否则继续进行第3步;
- 3、将请求放入异步队列中,返回正在排队中;
- 4、服务端异步队列将请求出队(哪些请求可以出队,可以根据业务来判定,比如:判断对应用户是否已经秒杀过对应商品,防止重复秒杀),出队成功的请求可以生成秒杀订单,减少数据库库存(在扣减库存的sql如下,返回秒杀订单详情)
1 | |
- 5、用户在客户端申请秒杀请求后,进行轮询,查看是否秒杀成功,秒杀成功则进入秒杀订单详情,否则秒杀失败
这种方案的缺点:由于是通过异步队列写入数据库中,可能存在数据不一致,其次引用多个组件复杂度比较高
存算分离
“存算分离(Storage and Compute Separation)”是现代云原生架构、分布式系统中非常重要的一种设计理念,它指的是将数据存储层(Storage)与计算执行层(Compute)进行解耦,使它们可以独立扩展、独立管理、分布式协同工作。
什么是存算分离?
传统模式中,计算和存储绑在一起:
- 一台机器负责处理数据(算)+ 保存数据(存)
- 横向扩展能力有限
存算分离模式中,架构变成如下形式:
1 | |
即:计算层是 无状态的,而数据统一保存在独立的存储层。
核心组件划分
| 层级 | 说明 |
|---|---|
| 计算层 | Spark、Presto、Flink、ClickHouse、Trino、AI训练框架等 |
| 存储层 | S3、HDFS、OSS、Ceph、Delta Lake、Iceberg 等 |
| 缓存层(可选) | Alluxio、Memcached、Redis、local SSD,用于提升 IO |
存算分离的优点
- 弹性计算能力
- 计算节点可以 按需启动和释放(容器化、Serverless)
- 非常适合 突发计算 / 多租户环境
- 成本优化
- 存储层用低成本对象存储(如 S3)替代 HDFS 本地磁盘;
- 计算资源可临时用完即销毁,降低长期资源占用
- 更好的资源隔离 & 弹性扩展
- 多租户任务可共享存储、独立计算;
- 支持异构任务同时运行(如查询、训练)
- 更高可用性
- 存储故障不会影响计算,计算失败重启不影响数据持久性;
- 支持冷热分层存储,数据分区调度灵活
存算分离的挑战与优化
| 问题 | 优化方式或解决策略 |
|---|---|
| 网络 IO 成本高 | 引入缓存层(如 Alluxio、本地 SSD 缓存) |
| 延迟抖动大 | 批量读、预取、压缩格式(Parquet/ORC) |
| 一致性和事务难处理 | 引入表格式 Delta Lake / Apache Iceberg |
| 任务失败时恢复成本高 | 支持 checkpoint + container 恢复机制 |
| 存储与计算分区策略不匹配 | 合理设计分区策略,使用分区裁剪(partition pruning) |
Rocketmq 之类的消息队列怎么做存算分离
RocketMQ 以及其他消息队列(如 Kafka、Pulsar)本质上是日志存储 + 消费处理系统。在设计上,它们其实天然适合做存算分离,但每个系统的落地方式、分离程度和技术演进路径并不一样。
消息队列中的“存”和“算”分别指什么?
| 层级 | RocketMQ 中的角色 |
|---|---|
| 存储层 | 消息日志落盘、持久化、索引管理(如 CommitLog) |
| 计算层 | 消费者处理、消息过滤、路由、Broker 转发 |
| 中间层 | Broker 组件,既负责存,也参与转发计算 |
RocketMQ 的默认架构:存算耦合
在传统 RocketMQ 架构中:
1 | |
Broker 同时:
- 接收 Producer 消息
- 存盘落到 CommitLog(顺序写)
- 将消息转发给 Consumer(消费/过滤/确认)
👉 计算和存储是耦合在 Broker 中的,这就限制了弹性伸缩、资源隔离。
RocketMQ 如何实现存算分离?
当前趋势:通过“Broker 分角色”+“共享存储”实现存算分离
Broker 角色分离(最新 RocketMQ 5.x 实现)
RocketMQ 5.x 引入了 多角色 Broker 模型,实现计算和存储解耦:
1 | |
具体做法:
| 角色 | 功能 |
|---|---|
| Proxy Node(代理节点) | 提供接口层、路由控制、访问控制、流控、消费逻辑处理(算) |
| Storage Broker | 专注消息持久化、索引管理、数据写入/查询(存) |
💡 优势:
- 计算节点可水平扩展,快速弹性部署;
- 存储节点使用高性能磁盘或对象存储;
- 类似 Snowflake 的存算分离设计理念。
使用远程存储(RocketMQ-on-Cloud)
云原生实现如:
- 阿里云消息队列 RocketMQ 版(Cloud)
- 腾讯云、华为云 MQ
它们在内部使用:
- Broker → 热存储(SSD)
- 冷数据 → OSS/S3 等对象存储
- 消费者访问数据 → 经由缓存 / Proxy 转发
这种模式进一步将 数据持久化职责剥离给存储服务,实现真正的“数据湖化 MQ”。
结合 Alluxio / Tiered Storage(冷热分层)
- 热消息:保留在本地 SSD / PageCache;
- 冷消息:定期归档到分布式文件系统或对象存储;
- Broker 作为 IO 中转站,不承担全部存储压力。
10w定时任务,如何高效触发超时
环形队列法
1)30s超时,就创建一个index从0到30的环形队列(本质是个数组)
2)环上每一个slot是一个Set,任务集合
3)同时还有一个Map,记录uid落在环上的哪个slot里
同时:
1)启动一个timer,每隔1s,在上述环形队列中移动一格,0->1->2->3…->29->30->0…
2)有一个Current Index指针来标识刚检测过的slot
当有某用户uid有请求包到达时:
1)从Map结构中,查找出这个uid存储在哪一个slot里
2)从这个slot的Set结构中,删除这个uid
3)将uid重新加入到新的slot中,具体是哪一个slot呢 => Current Index指针所指向的上一个slot,因为这个slot,会被timer在30s之后扫描到
(4)更新Map,这个uid对应slot的index值
哪些元素会被超时掉呢?
Current Index每秒种移动一个slot,这个slot对应的Set中所有uid都应该被集体超时!如果最近30s有请求包来到,一定被放到Current Index的前一个slot了,Current Index所在的slot对应Set中所有元素,都是最近30s没有请求包来到的。
所以,当没有超时时,Current Index扫到的每一个slot的Set中应该都没有元素。
优势:
(1)只需要1个timer
(2)timer每1s只需要一次触发,消耗CPU很低
(3)批量超时,Current Index扫到的slot,Set中所有元素都应该被超时掉
分布式定时任务
redis zset score 设置为过期时间
paxos 协议
Paxos算法的核心思想是将一致性问题分解为多个阶段,每个阶段都有一个专门的协议来处理。Paxos算法的主要组成部分包括提议者(Proposer)、接受者(Acceptor)和投票者(Voter)。
提议者:提议者是负责提出一致性问题的节点,它会向接受者发送提议,并等待接受者的回复。
接受者:接受者是负责处理提议的节点,它会接收提议者发送的提议,并对提议进行判断。如果接受者认为提议是有效的,它会向投票者发送请求,并等待投票者的回复。
投票者:投票者是负责决定提议是否有效的节点,它会接收接受者发送的请求,并对请求进行判断。如果投票者认为请求是有效的,它会向接受者发送投票,表示支持或反对提议。

Paxos 协议是一个经典的一致性算法,用于在分布式系统中就某个值达成共识。以下是 Paxos 协议的详细流程说明,分为角色介绍、基本思想和三阶段流程:
一、Paxos 的角色
Paxos 协议中主要有以下三类角色:
- Proposer(提议者):提出提案(值),希望其被接受。
- Acceptor(接受者):接收并响应提案,决定是否接受。
- Learner(学习者):学习最终被接受的提案值。
每个节点可以同时扮演多个角色。
二、基本目标和思路
Paxos 的目标是在多个节点中选出一个唯一的提案值,即便在存在节点宕机或网络延迟的情况下也能达成一致。它的关键在于通过两个阶段确保:
- 不会有两个不同的值被同时接受。
- 一旦一个值被决定,其他节点也会学习这个值。
三、Paxos 协议详细流程
Paxos 协议分为两个主要阶段(提案阶段和接受阶段),但在实际中通常描述为 三阶段流程:
阶段一:Prepare(准备阶段)
- Proposer 选择一个提案编号
n,发送 Prepare(n) 消息给多数(N/2+1)个 Acceptors。 - 每个 Acceptor 收到 Prepare(n) 后:
- 如果
n大于其已响应的最大编号(promise),就承诺不再响应小于n的提案,并返回其已接受的最大编号提案(n', v')(如果有)。
- 如果
这一阶段的目的是锁住 Acceptors 不再接受编号小于
n的提案,确保后续提案不会被其他较老的值干扰。
阶段二:Propose / Accept Request(提议阶段)
- 如果 Proposer 收到多数 Acceptor 的响应:
- 若有任何 Acceptor 返回了已接受的
(n', v'),则 Proposer 选择其中编号最大(n’ 最大)的提案值v'作为自己的提案值。 - 否则 Proposer 可自由选择任何提案值。
- 若有任何 Acceptor 返回了已接受的
Proposer 向多数 Acceptors 发送 Accept Request(n, v)。
每个 Acceptor 收到 Accept(n, v) 时:
- 如果
n≥ 其已响应的最大 promise 编号,则接受该提案(n, v)并存储,同时返回接受确认。
- 如果
阶段三:Learn(学习阶段)
- 一旦某个提案
(n, v)被多数 Acceptors 接受,即视为该值达成共识。 - Learner 会通过监听或被通知的方式获知已被接受的值。
这保证了所有 Learners 学到的都是相同的值。
四、优化与变种
- Multi-Paxos:将多个提案合并在一个长期运行的 Paxos 实例中,适用于日志复制。
- Fast Paxos / Cheap Paxos:减少消息轮次或减少多数节点数。
- Leader Election:选举一个 Leader 持续发起提案,提高效率。
五、Paxos 协议的特点
- 安全性:只要多数节点正常,不会产生冲突的结果。
- 容错性:允许少数节点故障(< N/2)。
- 效率较低:基本 Paxos 至少需要两轮消息交互。
如果你需要的是图示流程图、伪代码实现或更具体的某种 Paxos 变种(如 Multi-Paxos、Fast Paxos)细节,我也可以继续补充。需要吗?
AI
MCP
MCP 的核心定位是“被动服务”,仅响应调用请求,不参与决策或推理。
优势:模块化设计,便于独立开发和扩展。
局限性:只能被动响应,无法主动解决问题。
MCP Server采用被动服务模式,仅在接收到请求时返回数据。例如,当模型需要抓取网页内容时,会通过HTTP/SSE协议发送请求,MCP Server抓取数据后返回。
Function Call
Function Call是指大模型直接调用预定义函数的能力,允许模型生成请求参数并整合结果。例如,模型可以通过Function Call查询天气或执行简单的数学计算。它的本质是“代码级工具”,通常与模型绑定部署。
优势:高效便捷,无需额外通信开销。
局限性:受模型运行时资源限制,无法执行耗时任务。
Function Call由模型运行时环境直接执行,开发者需预先定义函数并将其打包到模型服务中。这种方式适用于高频轻量任务。
Agent
Agent是一种具备自主决策能力的AI实体,能够感知环境、规划任务并调用工具(包括MCP Server和Function Call)完成目标。例如,一个Agent可以接到“撰写AI趋势报告”的任务后,自动抓取数据、分析内容并生成报告。
优势:高自主性,支持复杂流程。
局限性:开发复杂度较高,需要集成推理框架和状态管理。
Agent具备高自主性,不仅可以主动调用工具,还能与用户进行双向交互。例如,当用户提出模糊需求时,Agent可以进一步确认细节后再执行任务。
Transformer
介绍一下 Transformer
介绍一下 QKV 的计算过程
介绍一下 QKV 的过程中的计算量
介绍一下 Transformer 中的参数量
介绍一下位置编码的演变
位置编码
https://zhuanlan.zhihu.com/p/11885471610
为什么 decoder-only 更有优势
为什么大模型的输入与输出 Token 的价格不一样贵
- 本文作者:EnableAsync
- 本文链接:https://enableasync.github.io/uncategorized/%E9%9D%A2%E7%BB%8F%E6%95%B4%E7%90%86/index.html
- 版权声明:本博客所有文章均采用 BY-NC-SA 许可协议,转载请注明出处!
